Respuesta de genotipos de maní a tres densidades de siembra y presencia de enfermedades en Quevedo, Ecuador

Respuesta de genotipos de maní a tres densidades de siembra y presencia de enfermedades en Quevedo, Ecuador

 

Response of peanut genotypes to three density planting and present diseases at Quevedo, Ecuador

 

 

Felipe R. Garcés-Fiallos,I,II,III Kerli L. Gallo-Flores,III Fernando D. Sánchez-MoraI,IV

IBecario de la Secretaría Nacional de Educación Superior, Ciencia, Tecnología e Innovación del Ecuador – SENESCYT.
IIDirección de Investigación Científica e Tecnológica. Universidad Técnica Estatal de Quevedo, Quevedo, Los Ríos, Ecuador.

IIIEscuela de Ingeniería Agronómica. Facultad de Ciencias Agrarias. Universidad Técnica Estatal de Quevedo, Quevedo, Los Ríos, Ecuador.
IVFacultad de Ingeniería Agronómica, Universidad Técnica de Manabí, Campus Experimental La Teodomira. Km. 13 ½ vía Santa Ana. Manabí, Ecuador.

 

 


RESUMEN

El objetivo del estudio fue determinar el efecto de la densidad de siembra en las características fitosanitarias y agronómicas de genotipos promisorios de maní, en Quevedo, Ecuador. Se utilizaron las líneas promisorias de maní CB-02, CB-16 y CB-23, tipo Runner, con distanciamiento estándar de 0,50 m entre hileras y una población de 3,6; 5 y 10 plantas m-1 para cada cultivar. Se cuantificó la intensidad de cercosporiosis y roya, así también las variables agronómicas altura de la planta, número de frutos y de semillas, peso de frutos por planta de 1000 semillas, frutos por parcela, y rendimiento de frutos (kg ha-1). Fue empleado un Diseño de Bloques Completos al Azar con nueve tratamientos y cuatro réplicas, con arreglo factorial 3 (líneas) x 3 (plantas m-1). Para la comparación entre las medias de los tratamientos se empleó la prueba de Tukey al 5 % de probabilidad del error. La línea de maní CB-23 obtuvo menor número de lesiones para cercosporiosis y roya. Con 3,6 y 5 plantas m-1 fue obtenido el mayor número de frutos por planta (321,83 y 286,50, respectivamente), y con 10 plantas m-1, la mayor altura de planta (47,24 cm), peso de frutos por parcela (2,00 kg) y rendimiento de frutos (1809,42 kg ha-1). Se observó interacciones entre los factores, solamente para el número de frutos por planta (p<0,05) y para el rendimiento (p<0,01), mostrando dependencias entre ellos.

Palabras clave: Arachis hypogaea, densidad de plantas, cercosporiosis, roya, rendimiento.


ABSTRACT

The aim of this study was to determine the effect of seeding density on sanitary and agronomic characteristics of promising peanut genotypes, in Quevedo, Ecuador. The following promising peanut lines were used: CB-02, CB-16 and CB-23, Runner type, with a standard distance of 0,50 m between rows and 3,6; 5 and 10 plants m-1 for each cultivar. The disease intensity of leaf spot and rust were determined, furthermore, agronomic variables such as plant height, number of pods and seeds, pod weight per plant, weight of 1000 seeds, weight of pods per parcel and pod yield (kg ha-1). The experiment was carried on a Completely Randomized Block design with 9 treatments and four replications, using a factorial arrangement 3 (lines) x 3 (plants m-1). Tukey’s test at 5% of significance level was used for separation of means. The smallest number of leaf spot and rust lesions was observed on the peanut line CB-23. On the one hand, at plant densities of 3,6 and 5 plants m-1 lead to the highest number of pods per plant (321,83 and 286,50 respectively). On the other hand, the highest plant height (47,24 cm), weight of pods per parcel (2,00 kg) and pod yield (1809,42 kg ha-1) were observed at 10 plants m-1. The interaction between factors was significant for the following variables: number of seeds per plant (p<0,05) and yield (p<0,01), showing the dependence between the analyzed factors.

Key words: Arachis hypogaea, seed density, leaf spot, rust, yield.


 

 

INTRODUCCIÓN

El maní (Arachis hypogaea L.) se cultiva en todo el mundo, desde los trópicos a las zonas templadas principalmente como un cultivo oleaginoso (1), siendo económicamente valioso, por lo que es cultivado de forma extensiva en el mundo (2). Contribuye a la nutrición humana por sus elevados contenidos de aceite y proteína (3). Han sido reportados también algunos efectos terapéuticos utilizando extractos de semillas de maní (4).

En Ecuador, el grano de maní es muy importante para el consumo interno, ya que con el se realizan productos simples (pasta de maní) o elaborados (dulces, maní tostados y chocolates), así como también son utilizados en la mayoría de los hogares de la costa ecuatoriana para la elaboración de ciertos platos de comida (5). Las principales provincias productoras del país son “Manabí”, “Los Ríos” y “Guayas”.

En la zona central del litoral ecuatoriano, el cultivo de maní es establecido por unos pocos agricultores que la mayoría de las veces cultivan variedades que fueron generadas para ser establecidas en otros lugares de la Costa Ecuatoriana, por lo que el potencial sanitario y agronómico de ese material genético no es el más alto. Por esta razón la Universidad Técnica Estatal de Quevedo (UTEQ) a través de la Dirección de Investigación Científica y Tecnológica (DICYT), ha venido trabajando en la obtención de una variedad con características agronómicas y sanitarias ideales para la zona central del litoral ecuatoriano, obteniendo hasta la actualidad algunos materiales promisorios.

Como la época de siembra, la población de plantas por hectárea también interfiere directamente en el rendimiento del cultivo de maní y esta a su vez, es determinada por el espaciamiento (6). En general, la productividad crece a medida que aumenta la población de plantas, hasta llegar a un punto en que la competición por la luz, los nutrientes y el agua, comienza a limitar el desarrollo de las plantas y, por tanto, los rendimientos comerciales (7). No existen actualmente trabajos sobre el efecto de la densidad de siembra en las enfermedades, solamente sobre plantas dañinas o arvenses realizados inclusive en otras latitudes (8, 9). Al no poseer información sobre el distanciamiento ideal de los materiales promisorios de la UTEQ, el objetivo de esta investigación fue determinar el efecto de la densidad de siembra en las características sanitarias y agronómicas de tres líneas promisorias de maní, en Quevedo, Los Ríos, Ecuador.

 

MATERIALES Y MÉTODOS

Ubicación del experimento

El presente trabajo se realizó durante la época seca, de julio a diciembre del año 2011, en la Finca Experimental “La María”, propiedad de la UTEQ, localizada en el km 7,5 vía Quevedo–El Empalme, cuyas coordenadas geográficas son 79° 30´ 08´´ de longitud Oeste
y 01° 00´ 35´´ latitud Sur. Las condiciones del lugar son las siguientes: zona climática [Bosque húmedo–tropical (bh-T)], temperatura promedio de 24,2 °C, humedad relativa de 77,4 %, heliofanía de 823 horas/luz/año, precipitación anual de 1,537 mm, la topografía del terreno es plano, la textura del suelo franco arcilloso y pH de 5,7.

Manejo del experimento

La preparación del terreno consistió en un pase de arado y dos de rastra, tres días antes de la siembra. Las semillas fueron previamente desinfectadas con 2,3-dihidro-2,2-dimetil 7 benzofuranilmetilcarbamato en dosis de 5 g por cada 500 g de semillas. La siembra se realizó el 21 de julio de 2011 de forma manual, utilizando un espeque, colocando dos semillas por agujero (siendo raleado posteriormente). Cabe mencionar que el anterior cultivo establecido en esa área fue maíz.

Fueron utilizados las líneas promisorias de maní CB-02, CB-16 y CB-23, tipo Runner, provenientes de una selección de líneas introducidas de Colombia. El distanciamiento utilizado entre la hilera fue de 0,50 m, mientras que la separación entre plantas de 0,10 (10 plantas metro linear o 200,000 plantas ha-1), 0,20 (5 plantas metro linear o 100,000 plantas ha-1) y 0,30 m (3,6 plantas metro linear o 72,000 plantas ha-1) para cada una de las líneas promisorias.

El área experimental contenía 36 parcelas, cada una con 7,5 m2, constituida de cuatro hileras, totalizando 494,5 m2. La fertilización se realizó en dos fracciones, a los 19 (09/08/2011) y 29 (19/08/2011) días después de la siembra (DDS), utilizando una fuente de N, P y K, en una relación de 30-60-30, en dosis de 150 kilogramos ha-1, y la segunda utilizando una fuente de N al 46 % en dosis de 100 kg ha-1, a una distancia de 5 cm de la planta, utilizando para esto un espeque.

Para el control de arvenses se realizaron aplicaciones de los herbicidas pendimetalina y glifosato, con dosis de 1,5 L ha-1 cada uno, en pre-emergencia, ayudándose con cuatro deshierbas manuales.

El control de insectos plagas se realizó utilizando los insecticidas lambdacihalotrina (0,2 L ha-1), metomil (0,5 kg ha-1) y pyriclor (0,5 L ha-1). Se realizaron tres riegos por aspersión para compensar la necesidad hídrica del cultivo, siendo el primero a los ocho días DDS y los dos siguientes cuando fue necesario. La cosecha fue realizada a los 139 DDS.

Los datos meteorológicos fueron obtenidos de la División de Meteorología, Departamento de Sinóptica del Instituto Nacional Autónomo de Investigaciones Agropecuarias (INIAP), QuevedoA.

Durante el ciclo del cultivo, las variables fitosanitarias y agronómicas evaluadas fueron las que se describen a continuación.

Evaluación de cercosporiosis y roya

Para evaluar la intensidad de las enfermedades foliares se utilizó la presión de inóculo natural generado por los patógenos.

Para determinar el número de lesiones folíolo-1 de cercosporiosis [Cercospora arachidicola Hori y Cercosporidium personatum (Berk. & Curt.) Deighton] y las pústulas cm-2 de la roya (Puccinia arachidis Speg.), fueron arrancados tres cuadrifolios, uno en cada estrato (inferior, medio y superior) de cuatro plantas escogidas al azar, ubicadas en las dos hileras laterales a la parcela útil (dos hileras centrales) de cada uno de los tratamientos. Rápidamente, este material vegetal fue acondicionado en fundas plásticas y trasladado posteriormente al Laboratorio de Microbiología Ambiental y Vegetal de la UTEQ. Con la ayuda de un estereoscopio con lente binocular óptico de 2X de ampliación visual, se cuantificó la severidad en los cuadrifolios, dado por el número de lesiones folíolo-1 para cercosporiosis, y el número de pústulas cm-2 para el caso de la roya, según metodología de Garcés-Fiallos y Forcelini (10). Esta actividad fue desarrollada durante ocho semanas desde el 07/10 al 25/11, y cuatro semanas desde el 03/11 al 25/11 para cercosporiosis y roya, respectivamente, en intervalos semanales. La severidad de la última fecha fue designada como variable enfermedad final.

Para el porcentaje (%) de severidad de enfermedades foliares en plantas marcadas, primeramente fueron identificadas cuatro plantas (dos en cada hilera de la parcela útil, siendo cuatro por tratamiento) con cuerdas de polietileno color amarillo en la zona basal del tallo (cerca de la superficie del suelo). A estas plantas se les estimó la severidad (evaluación visual de cada una de las plantas marcadas, considerándose enferma la planta que presentaba necrosis o muerte del tejido foliar), utilizando para ello una fitopatometría subjetiva, otorgando un valor en porcentaje (%) en relación a la necrosis o muerte del tejido foliar en cada una de las plantas marcadas. Esta actividad fue desarrollada durante doce semanas desde el 06/09 al 22/11, en intervalos semanales. Así también como en la variable anterior, la severidad de la última fecha se tomó para la variable enfermedad final.

Rendimiento y sus componentes

Altura de planta: se registró el 22 de noviembre, en 10 plantas tomadas al azar, en cada parcela útil (dos hileras centrales), midiendo la distancia entre el suelo y el ápice del tallo, utilizando una regla graduada en centímetros.

Número de frutos y de semillas y peso de frutos por planta: se determinó después de la cosecha, tomando 10 plantas al azar en cada parcela útil, retirando y contando el número de frutos y de semillas por planta y calculando posteriormente el promedio. En estas mismas plantas, los frutos obtenidos se pesaron en una balanza digital y se expresaron sus valores en gramos.

Peso de 1000 semillas: se pesaron 1000 semillas obtenidas de plantas de maní, en una balanza digital, siendo luego sus valores expresados en gramos.

Peso de fruto por parcela y rendimiento de fruto (kg ha-1): después de la cosecha de todas las plantas de la parcela útil (dos hileras centrales), se extrajeron todos los frutos y se pesaron en una balanza digital, manteniendo la humedad de campo. Para la obtención del rendimiento de fruto, este valor obtenido de cada tratamiento se transformó a kilogramos hectárea-1, ajustados al 9 % de humedad. La humedad del grano se determinó por medio de un determinador digital de humedad.

Análisis estadístico

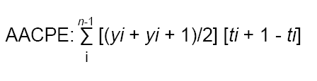
Fue empleado un Diseño de Bloques Completos al Azar con nueve tratamientos (Tabla I) y cuatro réplicas, con arreglo factorial de 3 (líneas promisorias) x 3 (planta m-1). Para todas las variables sanitarias de severidad (lesiones folíolo-1 y pústulas cm-2) de cercosporiosis y roya, así como para severidad (%) de enfermedades foliares en plantas marcadas, sus promedios obtenidos fueron integralizados como Área Abajo la Curva de Progreso de la Enfermedad (AACPE):



 

 

Posteriormente se realizaron los tests de Bartlett y de Kolmogorov-Smirnov, para verificar la homocedasticidad (varianzas) y normalidad (residuos) de los datos, respectivamente. Para la comparación entre las medias de los tratamientos se empleó la prueba de Tukey al 5 % de probabilidad del error. Para realizar estos análisis estadísticos, se utilizó el programa estadístico ASSISTAT 7,6 beta (2012).

 

RESULTADOS Y DISCUSIÓN

Las condiciones climáticas durante los 139 días que el cultivo de maní fue establecido en el campo, se muestran en la Tabla II. La temperatura promedio a lo largo del cultivo fue de 24,2 °C, humedad relativa promedio de 83,0 %, heliofanía total de 276,8 horas luz y una precipitación pluvial total de 18,4 mm. En relación a la temperatura, este es un factor limitante en la producción de maní, siendo la temperatura óptima para este cultivo de aproximadamente 27 °C, conociéndose que temperaturas inferiores a 20 °C o por encima de 30 °C disminuyen los procesos de crecimiento (11). Los factores climáticos no afectaron negativamente el desarrollo del cultivo, ya que 24,2 ºC fue una temperatura promedio y la falta de precipitaciones pluviales (18,4 mm) se compensaron con tres riegos por aspersión.



Evaluación de cercosporiosis y roya

Las dos enfermedades más importantes del cultivo de maní a nivel mundial son las cercosporiosis, causada por Cercospora arachidicola y Cercosporidium personatum y la roya ocasionada, por Puccinia arachidis (12), dándose este comportamiento también en esta parte del Ecuador. Sin embargo, la enfermedad que se acentúa como la más fuerte es la cercosporiosis, pudiendo causar pérdidas en el rendimiento entre 10 y 50 %, dependiendo del clima, manejo sanitario y genotipo utilizado (13).

Para el caso de las interacciones entre los factores A (líneas) y B (plantas m-1), para cada una de las variables sanitarias evaluadas presentadas en la Tabla IV, no existió diferencia estadística, mostrando con esto la independencia de cada uno de los factores (líneas y plantas m-1).



Para la cercosporiosis (Tabla III) dada por el AACPD con base en el número de lesiones folíolo-1 alcanzó entre 189,48 (CB-02) y 191,57 unidades (CB-16) para el factor A (líneas), y entre 183,04 (10 plantas m-1) y 198,62 unidades (5 plantas metro-1) para el factor B (plantas m-1), no existiendo diferencia estadística para ningún factor. Por otro lado, para enfermedad final los valores estuvieron entre 4,29 (CB-23) y 5,08 (CB-02) lesiones folíolo-1 para el factor A (líneas), y entre 4,43 (3,6 plantas metro-1) y 4,64 lesiones folíolo-1 (10 plantas metro-1) para el factor B (plantas m-1).



Existió diferencia estadística (p<0,05) solamente para el factor A (líneas), destacándose las líneas CB-16 y CB-23 por tener menor cantidad de lesiones folíolo-1.

La temperatura promedio de 24,2 °C registrada en este experimento, fue ideal para el desarrollo de estos patógenos (C. arachidicola y C. personatum), ya que la temperatura óptima se encuentra entre 24 y 26 °C durante el día y entre 20 y 24 °C durante la noche (11). Se destacaron las líneas CB-16 (4,33) y CB-23 (4,29) por tener menor cantidad de lesiones folíolo-1, siendo similares los valores obtenidos en un experimento de campo para C. arachidicola y C. personatum (14) en los cultivares DP-1 (4,4) (3,7) y Georganic (3,3) (3,9), los cuales fueron estadísticamente diferentes al cultivar Georgia Green (8,3) (7,1). Sin embargo, existe otro trabajo donde se han obtenido entre 5 y 15 lesiones folíolo-1 para C. arachidicola y entre dos y nueve lesiones folíolo-1 para C. personatum en los Estados Unidos de América (15).

Las discrepancias obtenidas entre estos tres trabajos y la presente investigación, se debieron posiblemente a las diferentes condiciones agroclimáticas en que fueron desarrollados cada uno de los experimentos.

Así también, para el caso de la roya (Tabla III) proporcionada por el AACPD con base en el número de pústulas cm-1, alcanzó entre 171,41 (CB-23) y 232,79 unidades (CB-16) para el factor A (líneas), y entre 183,03 (10) y 196,77 unidades (5) para el factor B (plantas m-1), existiendo diferencia estadística altamente significativa (p<0,01) para el factor A (líneas). Sobresalieron las líneas CB-02 y CB-23 con menor cantidad de pústulas cm-2 y, por otro lado; no existieron diferencias estadísticas para el factor B (plantas m-1).

Igualmente, para la enfermedad final los valores estuvieron entre 28,20 (CB-02) y 42,68 (CB-16) pústulas cm-2 para el factor A (líneas), y entre 27,51 (10) y 37,61 pústulas cm-2 (5 plantas m-1) para el factor B (plantas m-1), existiendo diferencia estadística altamente significativa (p<0,01) para el factor A (líneas), destacándose las líneas CB-02 y CB-23, y para el factor B (plantas m-1), las 10 plantas por metro lineal, por presentar menor cantidad de pústulas cmm-2.

En condiciones de campo en Tailandia, también fue encontrada diferencia significativa entre siete cultivares, sometidos a una epidemia natural de la roya, encontrando los materiales NC 17090 y NC 17135, con 3,72 y 6,15 pústulas cm-2, respectivamente, como superiores fitosanitariamente al resto, presentando inclusive menos daños (escala de 1-9) (16). En relación al efecto de la densidad de siembra sobre la roya, cuando se utilizó 10 plantas m-1la severidad de la enfermedad fue menor (27,51 pústulas cm-2), debiéndose probablemente a la competición de las uredosporas en el dosel del cultivo, al tener menos espacio entre plantas, pudiendo ocasionar inclusive una reducida dispersión temporal del patógeno por el viento (principal fuente de diseminación de las royas).

Incluso, en un experimento de maní se encontró que en el espaciamiento de 0,30 m, se obtiene una mayor cantidad de tejido foliar, dada por la tasa de crecimiento foliar con 3,1 g m-2 día-1, en comparación con los espaciamientos de 0,15 y 0,10 m, con 2,5 y 2,1 g m-2 día-1, respectivamente (17). Así también, la incidencia de pudriciones del tallo como la ocasionada por Sclerotium rolfsii Sacc. en maní, puede tener un aumento constante en función de mayores poblaciones de plantas de maní en campos con niveles significativos (> 5 %) de esta enfermedad (18).

Coincidentemente, la población de 10 plantas m-1 del presente experimento, presentó mayor número de pústulas cm-2, originando inclusive que las plantas alcanzaran la máxima altura con 47,24 cm (Tabla IV). Este último resultado posiblemente fue debido a la competencia entre las plantas.
Por último, para la variable severidad de enfermedades en plantas marcadas (Tabla IV), el análisis de varianza no mostró diferencias estadísticas entre cada uno de los tratamientos de los factores A (líneas) y B (plantas m-1).

Rendimiento y sus componentes

Todos los promedios de cada una de estas variables se encuentran en la Tabla IV.

Para el caso de las interacciones entre los factores A (líneas) y B (plantas m-1) para cada una de estas variables, no existió diferencia estadística para la mayoría de las variables, exceptuando el número de semillas por planta y rendimiento, donde sí se evidenció diferencia estadística de p<0,05 y p<0,01, respectivamente. Este comportamiento demuestra que los factores (líneas y plantas m-1) son influenciados y dependientes entre sí.

Para la variable altura de la planta los valores estuvieron entre 39,03 (CB-16) y 39,96 cm (CB-02) para el factor A (líneas), y entre 35,43 (3,6) y 47,24 cm (10) para el factor B (plantas m-1), no existiendo diferencia estadística para el factor A. Sin embargo, existió diferencia altamente significativa (p<0,01) para el factor B (plantas m-1), mostrando que cuando se utilizó 10 plantas m-1 la altura fue mayor (47,24 cm), siendo este hecho confirmado en el cultivo de soya, donde el aumento de la población de plantas por hectárea (200,000, 300,000 y 400,000), fue proporcional a la altura de planta (44,17; 49,98 y 54,33 cm) (19). Densidades de siembra mayores de 44,4 y 25,0 plantas m-2 pueden interceptar más radiación en comparación con densidades menores de 11,1 o 16,0 plantas m-2 (18).

Así también, para el número de frutos por planta los promedios fueron entre 237,92 (CB-23) y 270,75 frutos (CB-16) para el factor A (líneas), y entre 162,92 (10) y 321,83 frutos (3,6), para el factor B (plantas m-1), no presentando diferencia estadística para el factor A, y sí diferencia altamente significativa (p<0,01) para el factor B, destacándose las 3,6 y 5 plantas m-1 por poseer más frutos por planta. Este comportamiento también fue confirmado en maní en Indonesia, para las variables número total de frutos, masa de frutos secos, volumen de frutos frescos y secos, obteniendo con la densidad de 5 plantas metro-1 (la densidad más baja de maní evaluado en ese experimento) valores de 10,87 frutos planta-1, 14,50 g planta-1, 0,73 y 0,66 L 10 plantas-1, respectivamente (20).

Por otro lado, para el número de frutos por planta las medias obtenidas se ubicaron entre 313,75 (CB-23) y 387,17 semillas (CB-16) para el factor A (líneas), y entre 299,67 (10) y 370,33 semillas (3,6) para el factor B (plantas m-1). Igualmente, para el peso de frutos sus promedios estuvieron entre
126,67 (CB-02) y 132,67 g (CB-23) para el factor A (líneas), y entre 119,75 (10) y 136,58 g (3,6), para el factor B (plantas m-1). En las dos variables no existió diferencia estadística para los dos factores.

Así también, para el número de semillas por planta existió interacción significativa entre los factores A (líneas) y B (plantas metro-1). Solamente las líneas CB-02 y CB-16 con 5 plantas metro-1 (factor A), y con 5 y 3,6 plantas metro-1 los genotipos CB-02 y CB-23, respectivamente (factor B), mostraron el mayor número de semillas (datos no presentados).

Posteriormente, para el peso de mil frutos no se registró diferencia estadística para cada uno de los factores A (líneas) y B (plantas m-1), ubicándose los valores entre 51(CB-16) y 62 g (CB-23) para el factor A, y entre 52 (10) y 58 g (3,6 y 5). En este caso, la variable muestra uniformidad en el tamaño de las semillas de las tres líneas de maní evaluadas. Esto sería algo positivo, ya que de haber encontrado menor peso (tamaño de semilla menor), podría estar propensa a una mayor intensidad de patógenos como Aspergillus y Penicillium (21).

Por otra parte, para el peso de frutos por parcela los promedios fueron entre 1,44 (CB-23) y 1,57 kg (CB-02) para el factor A (líneas), y entre 1,00 (3,6) y 2,00 kg (10), para el factor B (plantas m-1). Por último, para el rendimiento sus promedios se ubicaron entre 1210,40 (CB-16) y 1350,72 kg ha-1 (CB-02) para el factor A (líneas), y entre 776,18 (3,6) y 1809,42 kg ha-1 (10), para el factor B (plantas m-1).

En las dos variables, no existió diferencia estadística para el factor A, y sí diferencia altamente significativa (p<0,01) para el factor B, destacándose las 10 plantas m-1 por haber obtenido mayor producción (kg y kg ha-1). El primer hecho es corroborado por Garcés (22) en los mismos cultivares durante dos años de investigación en condiciones agroclimáticas similares.

Por otro lado, se ha comprobado que conforme existe un aumento de 3; 5,3 y 8,3 plantas m-2, existe también un incremento de 2,6; 3,2 y 3,4 t ha-1 en el cultivo de maní (23), corroborando los resultados aquí obtenidos. Inclusive en Gana, África una densidad de 12 plantas m-2 y aplicación de fungicidas puede mejorar significativamente los rendimientos de maní en condiciones de secano (24).

Independiente del genotipo de maní evaluado, el incremento de la densidad poblacional puede aumentar significativamente la biomasa acumulada y el rendimiento de semilla por unidad de superficie (25).

Finalmente, el rendimiento de frutos (kg ha-1) mostró interacción significativa entre los factores A (líneas) y B (plantas metro-1). Solamente la línea CB-02 con 10 plantas metro-1 (factor A), y a medida que aumenta el número de plantas metro-1 (factor B) también se incrementa el rendimiento de frutos.

 

CONCLUSIONES

• La línea de maní CB-23 obtuvo la menor cantidad de enfermedades foliares presentes en el experimento. Una menor severidad final de la roya fue obtenida con una cantidad de 10 plantas m-1.

• La mayor altura de planta se alcanzó con 10 plantas m-1. El mayor número de frutos por planta fue obtenido con 3,6 y 5 plantas m-1. Cuando se utilizaron 10 plantas m-1, el peso fue superior a los demás, demostrando que a mayor densidad de plantas se puede obtener una mayor producción.

• Se observaron interacciones significativas entre los factores A (líneas) y B (plantas m-1) para las variables número de semillas por planta (p<0,05) y rendimiento de granos (kg ha-1) (p<0,01), mostrando influencia entre los dos factores.

BIBLIOGRAFÍA

1. Carrín, M.E. y Carelli, A.A. ‘‘Peanut oil: Compositional data’’, European Journal of Lipid Science and Technology, vol. 112, no. 7, 1 de julio de 2010, pp. 697-707, ISSN 1438-9312, DOI 10.1002/ejlt.200900176.

2. Ginzberg, I.; Tubi, A.; Buchshtab, O.; Wininger, S.; Ben-Dor, B.; Fogelman, E. y Kapulnik, Y. ‘‘Soil Type and Wetness Affect Tint of Peanut (Arachis hypogaea L.) Pod Shell’’, Peanut Science, vol. 37, no. 2, 1 de julio de 2010, pp. 144-150, ISSN 0095-3679, DOI 10.3146/PS09-028.1.

3. Mazzani, E.; Segovia, V.S.; Marín, C. y Pacheco, W. ‘‘Clasificación de cultivares de maní (Arachis hypogaea L.) por caracteres cuantitativos para el establecimiento de colecciones nucleares del banco de germoplasma del Centro Nacional de Investigaciones Agropecuarias, Venezuela’’, Revista Científica UDO Agrícola, vol. 9, no. 4, 2009, pp. 756-763, ISSN 1317-9152.

4. Lopes, R.M.; Agostini-Costa, T. da S.; Gimenes, M.A. y Silveira, D. ‘‘Chemical Composition and Biological Activities of Arachis Species’’, Journal of Agricultural and Food Chemistry, vol. 59, no. 9, 11 de mayo de 2011, pp. 4321-4330, ISSN 0021-8561, DOI 10.1021/jf104663z.

5. Garcés-Fiallos, F.R.; Guamán, R.E. y Díaz-Coronel, T.M.G. ‘‘Intensidad de Cercospora arachidicola y Pseudomonas spp. y rendimiento de materiales de maní en la zona central del Litoral Ecuatoriano’’, Tropical Plant Pathology, vol. 36, no. suplemento, 2011, p. 679, ISSN 1982-5676.

6. da Silveira, P.S.; Peixoto, C.P.; Ledo, C.A. da S.; Passos, A.R.; Borges, V.P. y Bloisi, L.F.M. ‘‘Fenologia e produtividade do amendoim em diferentes épocas de semeadura no recôncavo sul baiano = Phenology and yield of peanut in different sowing seasons in southern bahia recôncavo’’, Bioscience Journal, vol. 29, no. 3, 4 de junio de 2013, ISSN 1981-3163, [Consultado: 4 de abril de 2015], Disponible en: <http://www.seer.ufu.br/index.php/biosciencejournal/article/view/13437>.

7. Santos, A.B. dos. y Costa, J.D. ‘‘Crescimento de arroz de sequeiro em diferentes populações e irrigação suplementar’’, Pesquisa Agropecuária Brasileira, vol. 32, no. 6, 1 de junio de 1997, pp. 591-599, ISSN 1678-3921.

8. Dias, T.C.S.; Alves, P.; Pavani, M. y Nepomuceno, M. ‘‘Efeito do espaçamento entre fileiras de amendoim rasteiro na interferência de plantas daninhas na cultura’’, Planta Daninha, vol. 27, no. 2, 2009, pp. 221–228, ISSN 0100-8358.

9. de Souza, N.L.; Casari Parreira, M. y Aguiar da Costa, P.L. ‘‘Hierbas dañinas en cultivos de maní en función de la densidad y distancia entre surcos’’, Agronomía Tropical, vol. 60, no. 4, octubre de 2010, pp. 341-354, ISSN 0002-192X.

10. Garcés-Fiallos, F.R. y Forcelini, C.A. ‘‘Progresso temporal da ferrugem e redução sobre a área foliar e os componentes do rendimento de grãos em soja’’, Acta Agronómica, vol. 60, no. 2, abril de 2011, pp. 147-157, ISSN 0120-2812.

11. Ketring, D.L. ‘‘Light Effects on Development of an Indeterminate Plant’’, Plant Physiology, vol. 64, no. 4, 10 de enero de 1979, pp. 665-667, ISSN 0032-0889, 1532-2548, DOI 10.1104/pp.64.4.665, [PMID: 16661030].

12. De Macedo Leal-Bertioli, S.C.; De Farias, M.P.; Silva, P.Í.T.; Guimarães, P.M.; Brasileiro, A.C.M.; Bertioli, D.J. y De Araujo, A.C.G. ‘‘Ultrastructure of the Initial Interaction of Puccinia arachidis and Cercosporidium personatum with Leaves of Arachis hypogaea and Arachis stenosperma’’, Journal of Phytopathology, vol. 158, no. 11-12, 1 de diciembre de 2010, pp. 792-796, ISSN 1439-0434, DOI 10.1111/j.1439-0434.2010.01704.x.

13. Waliyar, F.; Shew, B.B.; Sidahmed, R. y Beute, M.K. ‘‘Effects of Host Resistance on Germination of Cercospora arachidicola on Peanut Leaf Surfaces’’, Peanut Science, vol. 22, no. 2, 1 de julio de 1995, pp. 154-157, ISSN 0095-3679, DOI 10.3146/i0095-3679-22-2-15.

14. Cantonwine, E.G.; Culbreath, A.K.; Holbrook, C.C. y Gorbet, D.W. ‘‘Disease Progress of Early Leaf Spot and Components of Resistance to Cercospora arachidicola and Cercosporidium personatum in Runner-Type Peanut Cultivars’’, Peanut Science, vol. 35, no. 1, 1 de enero de 2008, pp. 1-10, ISSN 0095-3679, DOI 10.3146/0095-3679(2008)35[1:DPOELS]2.0.CO;2.

15. Kornegay, J.L.; Beute, M.K. y Wynne, J.C. ‘‘Inheritance of Resistance to Cercospora arachidicola and Cercosporidium personatum in Six Virginia-type Peanut Lines’’, Peanut Science, vol. 7, no. 1, 1 de enero de 1980, pp. 4-9, ISSN 0095-3679, DOI 10.3146/i0095-3679-7-1-2.

16. Pensuk, V.; Patanothai, A.; Jogloy, S.; Wongkaew, S.; Akkasaeng, C. y Vorasoot, N. ‘‘Reaction of peanut cultivars to late leafspot and rust’’, Songklanakarin Journal of Science and Technology, vol. 25, no. 3, 2003, pp. 289–295, ISSN 01253395.

17. Gardner, F.P. y Auma, E.O. ‘‘Canopy structure, light interception, and yield and market quality of peanut genotypes as influenced by planting pattern and planting date’’, Field Crops Research, vol. 20, no. 1, febrero de 1989, pp. 13-29, ISSN 0378-4290, DOI 10.1016/0378-4290(89)90020-8.

18. Augusto, J.; Brenneman, T.B.; Baldwin, J.A. y Smith, N.B. ‘‘Maximizing Economic Returns and Minimizing Stem Rot Incidence with Optimum Plant Stands of Peanut in Nicaragua’’, Peanut Science, vol. 37, no. 2, 1 de julio de 2010, pp. 137-143, ISSN 0095-3679, DOI 10.3146/PS09-016.1.

19. Tosquy-Valle, O.H.; Esqueda-Esquivel, V.A.; Zetina-Lezama, R. y Ascencio-Luciano, G. ‘‘Densidad y distancia de siembra en dos variedades de soya de temporal en Veracruz, México’’, Agronomía Mesoamericana, vol. 21, no. 1, 24 de marzo de 2009, p. 63, ISSN 2215-3608, 1021-7444, DOI 10.15517/am.v21i1.4912.

20. Suprapto, agus.; Sugito, Y.; Sitompul, S.M. y Sudaryono, S. ‘‘Effect of Varieties and Plant Population Densities on Dry Matter Production, Radiation Interception and Radiation Energy Conversion in Peanut’’, Journal of Tropical Life Science, vol. 2, no. 2, 1 de septiembre de 2012, pp. 49 - 52, ISSN 2087-5517.

21. Vanzolini, S.V.; De Mello Torres, R. y De Cassia Panizzi, R. ‘‘Efeito do tamanho, da densidade e do tratamento fungicida sobre a qualidade das sementes de amendoim’’, Revista Ceres (Brasil), vol. 47, no. 274, 2000, pp. 603–612, ISSN 0034-737X.

22. Garcés-Fiallos, F.R.; Guamán-Anchundia, R.E.; Bozada-Véliz, J.J. y Díaz-Coronel, G. ‘‘Características agronómicas y sanidad de germoplasma promisorio de maní (Arachis hypogaea L.) en Quevedo, Ecuador’’, Acta Agronómica, vol. 63, no. 4, 2014, pp. 318–325, ISSN 2323-0118, DOI: 10.15446/acag.v63n4.43080.

23. Rasekh, H.; Asghari, J.; Massoumi, S.L. y Wishkahi, M.N.S. ‘‘Effect of planting pattern and plant density on physiological characteristics of peanut (Arachis hypogaea L.) grown in Guilan, Northen Iran.’’, Iranian Journal of Field Crop Science, vol. 40, no. 3, 2009, pp. 171-180, ISSN 2008-4811, CABDirect2.

24. Naab, J.B.; Boote, K.J.; Prasad, P.V.V.; Seini, S.S. y Jones, J.W. ‘‘Influence of fungicide and sowing density on the growth and yield of two groundnut cultivars’’, The Journal of Agricultural Science, vol. 147, no. 02, abril de 2009, pp. 179–191, ISSN 1469-5146, DOI 10.1017/S0021859608008290.

25. Zapata, N.; Vargas, M. y Vera, F. ‘‘Crecimiento y productividad de dos genotipos de maní (Arachis hypogaea L.) según densidad poblacional establecidos en Ñuble, Chile’’, Idesia (Arica), vol. 30, no. 3, diciembre de 2012, pp. 47-54, ISSN 0718-3429, DOI 10.4067/S0718-34292012000300006.

 

 

Recibido: 21 de enero de 2014
Aceptado: 2 de octubre de 2014

 

 

Felipe R. Garcés-Fiallos, Becario de la Secretaría Nacional de Educación Superior, Ciencia, Tecnología e Innovación del Ecuador – SENESCYT. Email: felipegarces23@yahoo.com

Enlaces refback

  • No hay ningún enlace refback.