Estudio del rendimiento y modelación del período de madurez en nuevos cultivares de caña de azúcar

Estudio del rendimiento y modelación del período de madurez en nuevos cultivares de caña de azúcar

 

Yield performance study and maturity patterns modeling of new sugarcane cultivars

 

 

Dr.C. Reynaldo Rodríguez Gross,I Ms.C. Yaquelín Puchades Izaguirre,I Wilfre Abiche Maceo,I Salvador Rill Martínez,I Dr.C. Héctor J. Suarez,II Yindra Salmón Cuspineda,III Dr.C. Guillermo GálvezII

IEstación Territorial de Investigaciones de la Caña de Azúcar, Oriente Sur, Cuba.
IIInstituto de Investigaciones de la Caña de Azúcar.
IIICentro Meteorológico Provincial Santiago de Cuba.

 

 


RESUMEN

El objetivo del presente trabajo es definir la respuesta agropoductiva de nuevos cultivares de caña de azúcar recomendados por el Instituto de Investigaciones de la Caña de Azúcar (INICA), ubicado en la provincia Santiago de Cuba, así como modelar y clasificar su período óptimo de madurez y cosecha. Para esto, se estableció un experimento en el área experimental “La Mantonia”, perteneciente a la Estación Territorial de Investigaciones de la Caña de Azúcar de Oriente-Sur, en un suelo Pardo sialítico en condiciones de secano. Se utilizaron 38 cultivares y se estudiaron durante dos cosechas (caña planta y primer retoño). Las variables evaluadas fueron: porcentaje de pol en caña, t caña ha-1 y t pol ha-1, así como el contenido azucarero en todo el período de cosecha (noviembre-abril). Para cumplir los objetivos se realizaron análisis de varianza y análisis multivariados (modelo de Efectos Principales Aditivos e Interacción Multiplicativa (AMM) y análisis de Agrupamiento) así como regresión. Se obtuvo que los cultivares de mejor respuesta agroindustrial resultaron ser: C86-12, C88-297, C89-559, C90-469, C91-115, C91-522, C95-416, C97-445 y SP70-1284. Se determinó el momento óptimo de madurez de los cultivares clasificándolos por el período de cosecha, en los que se identificaron los siguientes grupos: inicio, inicio-medio, medio, medio-final y final de zafra, así como los cultivares que se pueden utilizar en todo el período de zafra. Asimismo, se determinó que la ecuación polinómica de segundo grado resultó la de mejor ajuste para modelar la madurez de los cultivares de caña de azúcar durante el período de zafra.

Palabras clave: madurez, AMMI, modelación.


ABSTRACT

The aim of the present work was to assess the performance of new sugarcane cultivars released by the Institute for Sugarcane Research (INICA), as well as to model and to classify its optimal maturity and harvest period. An experiment was carried out in the experimental field of the Territorial Station for Sugarcane Research “Oriente-Sur” under brown and rained soil conditions. Thirty-eight sugarcane cultivars were studied during two crop cycles (cane plant and first ratoon). The variables pol percentage in cane, t cane ha-1 and t pol ha-1 were recorded in the whole harvest period (November-April). Data were analyzed using analysis of variance, multivariate techniques (AMMI models and clustering) and regression analysis. The best performance cultivars were C86-12, C88-297, C89-559, C90-469, C91-115, C91-522, C95-416, C97-445 and SP70-1284. Cultivars were classified according to its optimal period of maturity in the following harvest schedule groups: early, early-middle, middle, middle-late and later. In addition, it is showed sugarcane cultivars for harvesting in the complete period of harvest . The polynomial equation of second grade displayed the better adjustment for modeling maturity pattern of sugarcane cultivars during the harvest period.

Key words: maturity, AMMI, modeling.


 

 

INTRODUCCIÓN


En los últimos años se comienzan a materializar los resultados esperados del proceso de perfeccionamiento del sector azucarero; se detuvo el decrecimiento de la producción de azúcar y se muestran signos alentadores de recuperación de los niveles requeridos. En la región sur-oriental de Cuba, la caña de azúcar se cultiva en una superficie de 90 000 hectáreas.

Los elementos expuestos anteriormente, unido al alza de los precios del azúcar en los mercados internacionales, demandan una mayor eficiencia en todo el proceso desde la producción de caña hasta la fabricación del azúcar en la industria. En este contexto, una de las vías más prácticas y económicas se encuentra en la obtención de genotipos con elevado contenido azucarero y adaptadas a las condiciones edafoclimáticas del país, mediante el desarrollo de programas de mejoramiento genético (1).

En los principales cultivos de los Estados Unidos se ha estimado que la contribución del mejoramiento genético al incremento de los rendimientos es de alrededor del 50 %. En Australia, se atribuyó al mejoramiento genético el 75 % del incremento de los rendimientos de la caña de azúcar (2, 3). Por otra parte, los cultivares de caña de azúcar están sujetos al deterioro que obliga su renovación y reemplazo irreversible por nuevos individuos de mejor respuesta a diferentes condiciones ambientales y con requisitos agroindustriales y fitosanitarios superiores a los existentes (4).

Las difíciles circunstancias enfrentadas durante los últimos años, por la agroindustria azucarera en Cuba, motivaron un reordenamiento de las investigaciones y los sitios de prueba de nuevos cultivares. Esta situación ha provocado poca representación entre los ambientes de selección genética y los ambientes de destino de los cultivares (5).

Por otra parte, el jugo de la caña de azúcar es el punto donde confluyen las diversas etapas de la agroindustria y su composición constituye un resumen de todos los factores que influyeron en el cultivo y cosecha, de forma aleatoria y de difícil cuantificación (6). Sin embargo, los estudios relacionados sobre calidad de los jugos, de las variedades recomendadas por el Instituto de Investigaciones de la Caña de Azúcar (INICA), se han realizado en cada territorio donde fue obtenida bajo las condiciones edafoclimática de estos sitios.

En Cuba se han realizado numerosos estudios relacionados con la evaluación de genotipos en diferentes ambientes de producción y sus implicaciones en el mejoramiento de los rendimientos cañeros y azucareros. Los resultados de estos estudios reiteran la importancia y significación de la interacción genotipo-ambiente, lo que apunta a la necesaria evaluación multiambiental de los cultivares durante el proceso de selección, fundamentalmente en las etapas finales, así como posterior a su liberación en áreas comerciales (7).

El INICA ha recomendado, desde el año 2002 al 2014, 41 nuevos cultivares de caña de azúcar obtenidos en diferentes provincias. En ese sentido, cuando los nuevos cultivares son llevados a otros territorios, para su posible introducción en áreas comerciales, no se cuenta con suficiente información sobre su respuesta agroproductiva, momento de madurez y período de cosecha, así como conocimientos integrales sobre la calidad de jugos en las nuevas condiciones edafoclimáticas.

Asimismo, al disponerse de un número elevado de nuevos cultivares se hace necesario su manejo por períodos coincidentes de madurez, a lo que ha dado en llamarse, comúnmente, como “familia de variedades”, lo que facilita la programación de cosecha de los tallos de caña de azúcar destinados a la producción de azúcar (8). El objetivo del presente trabajo es definir la respuesta agropoductiva de nuevos cultivares de caña de azúcar recomendados en la provincia Santiago de Cuba, así como modelar y clasificar su período óptimo de madurez y cosecha.

 

MATERIALES Y MÉTODOS

La fase experimental de este trabajo comenzó a partir de septiembre de 2009, con el establecimiento de un experimento de campo en el Bloque Experimental “La Mantonia”, del municipio de Contramaestre perteneciente a la Estación Territorial de Investigaciones de la Caña de Azúcar Oriente-Sur. El estudio se realizó sobre un suelo Pardo sialítico y bajo condiciones de secano.

Material vegetal y características evaluadas


Para el estudio se utilizaron un total de 38 cultivares de caña de azúcar. De estos 34 nuevos recomendados por el INICA en los últimos 10 años (Tabla I) y obtenidos en diferentes zonas geográficas del país (5).



Se utilizó como testigo el cultivar C87-51 para determinar la respuesta agroproductiva de los cultivares evaluados. Este genotipo presenta buen rendimiento agroindustrial en la provincia Santiago de Cuba, además de poseer alto contenido azucarero y de madurez media al final de la zafra, pudiéndose cosechar en todo el período de zafra (9).

También se utilizaron tres cultivares de amplia comercialización en la región de estudio (B7274, C1051-73 y C120-78). El estudio se estableció en ciclo de frío (septiembre de 2009) y cosechado en cepa de caña planta (febrero de 2011) y primer retoño (marzo de 2012) con 16 y 12 meses de edad respectivamente.

Diseño experimental y metodología de muestreo

Para el montaje del experimento se utilizó un diseño estadístico en bloques al azar. Cada parcela experimental abarcó un área de 48 m2 (cuatro surcos de 7,5 m de largo por 1,50 m entre hileras) con tres repeticiones por tratamiento (cultivar). Al mismo tiempo que se estableció el experimento, se plantó un área de 22,5 m2 (tres surcos de 5 m de largo por 1,50 m entre hileras) por cada cultivar, denominado “banco de madurez”.

Este banco fue destinado para los muestreos mensuales de madurez durante todo el período de zafra. Es decir, muestreo desde noviembre hasta abril en el caso de la primera cosecha (cepa de caña planta) y desde noviembre hasta marzo en el caso de la segunda cosecha (cepa de retoño) y de esta forma determinar la dinámica de madurez a través del análisis del porcentaje de pol en caña.

Las variables evaluadas fueron t caña ha-1, porcentaje de pol en caña y t pol ha-1. Las mismas se determinaron tomando los tallos correspondientes a un metro; obteniéndose cuatro submuestras por cultivar y por réplica, lo que finalmente se promedió para determinar las tres variables de cosecha. Este muestreo se realizó en la primera y segunda cosecha.

Procesamiento estadístico de los datos

Los datos de las variables observadas, fueron evaluados respecto a su normalidad y homogeneidad de varianza, mediante pruebas de Chí cuadrado y Bartlett-Box F. En ningún caso se hizo necesaria su transformación. Se determinó la respuesta agroproductiva de los cultivares en cada una de las cosechas, mediante análisis de varianza simple de efecto fijo. Para esto se tomó como factor los genotipos, mediante el siguiente modelo:

Yik
= µ + Gi + eik

dónde:

Yik: es la observación k del genotipo i
µ: media general
Gi: efecto del i-ésimo genotipo
ei: error asociado a la k-ésima observación del i-ésimo genotipo

Se utilizaron las dócimas de Tukey (p=0,05) para la comparación múltiple de medias. En todos los casos se empleó el paquete estadístico STATISTICA (10) para el procesamiento estadístico de los datos.

Para determinar el momento óptimo de madurez y clasificación de los cultivares por su época de cosecha se utilizaron los resultados del porcentaje de pol en caña evaluado en todo el período de zafra, tanto en la cepa de caña planta como en retoño. Primeramente se realizó un análisis de varianza factorial de efecto fijo para conocer si existen diferencias significativas en la interacción de los factores cultivares y meses del período de zafra. Una vez conocida que esta fue significativa se realizó una descripción a través del uso del modelo de Efectos Principales Aditivos e Interacciones Multiplicativas (AMMI) (11).

Con los resultados del modelo AMMI fueron elaborados dos tipos de representaciones bidimensionales. Un primer biplot se elaboró para el estudio de la estabilidad del contenido azucarero a partir de los efectos principales de genotipos y meses y la media general (eje de las abscisas) y el primer componente del modelo AMMI (eje de las ordenadas) denominado AMMI1. Un segundo biplot se construyó con los dos primeros componentes del modelo AMMI denominado AMMI2
, el que muestra las relaciones entre meses, entre genotipos y entre estos dos factores.

Se realizó un análisis de agrupamiento jerárquico de mínima varianza de Ward (12) con los grupos de cultivares observados por su madurez por medio del uso del modelo AMMI. Para esto se tomó las coordenadas de los vectores de los componentes uno y dos del modelo AMMI. También se empleó los cuadrados de las distancias euclidianas como medida de similitud y se utilizó como criterio de formación de grupos la madurez de los cultivares en el período de zafra con un enfoque biológico y lógico.

A partir de los resultados de la primera clasificación se procedió a una segunda sólo con los cultivares del grupo intermedio. Este nuevo análisis permitió ampliar la clasificación del grupo intermedio de madurez, por la importancia que este período reviste para la cosecha del cultivo.

Con los cultivares que se identificaron en el grupo inicial de cosecha del período medio de zafra, se determinó la estabilidad del contenido azucarero en toda la etapa de cosecha para identificar los cultivares que pueden cosecharse en todo el período de zafra al tener en cuenta como criterio que posean alto y estable contenido azucarero. El procedimiento utilizado fue a través del modelo primer componente del modelo AMMI (eje de las ordenadas) y los efectos de genotipos, meses y la media general (eje de las abscisas).

Igualmente, se realizaron análisis de modelación por medio de análisis de regresión (ecuación polinómica de grado 2) con la variable porcentaje de pol en caña para estimar el momento óptimo de maduración de cada cultivar. De igual forma, el paquete estadístico empleado en el procesamiento de los datos fue STATISTICA (10).

 

RESULTADOS Y DISCUSIÓN

Respuesta agroindutrial de los cultivares

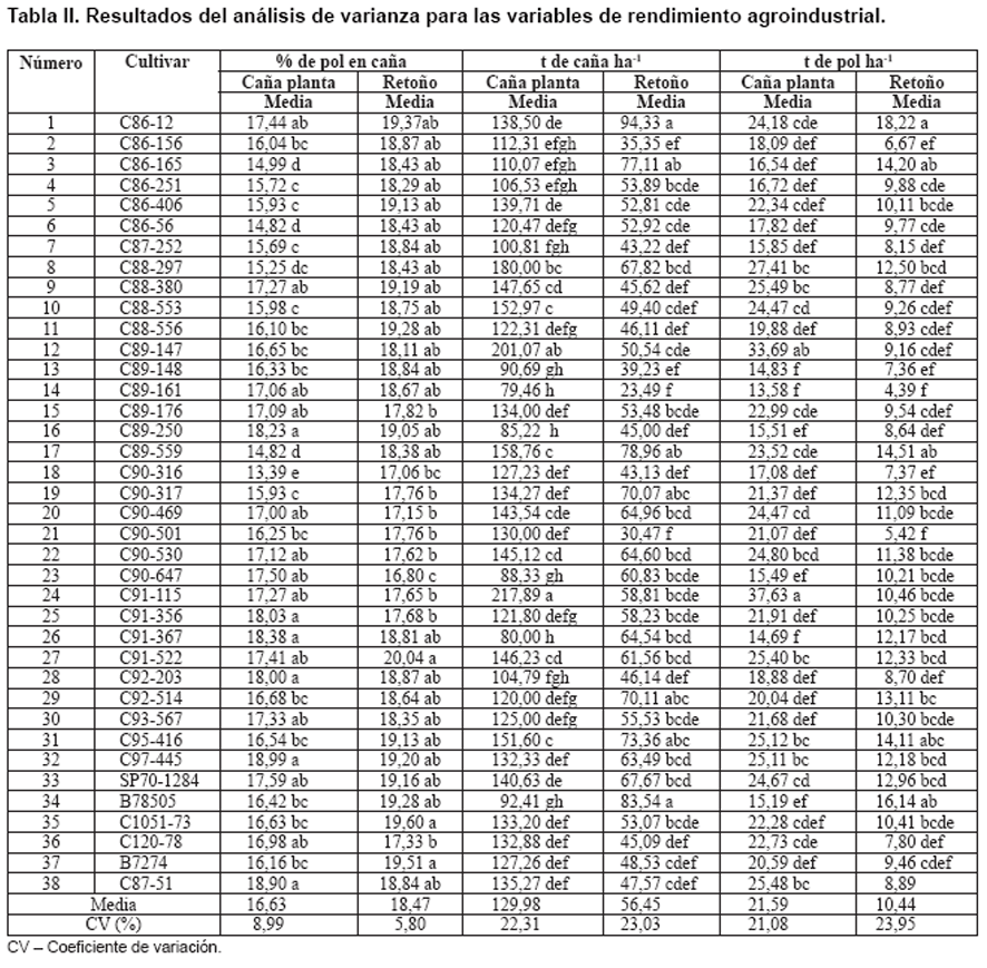
El análisis de varianza realizado a cada cosecha (cepa de caña planta y primer retoño) mostró diferencias significativas para las tres variables evaluadas, porcentaje de pol en caña, t caña ha-1 y t pol ha-1. En la Tabla II se puede observar los resultados de la comparación múltiple de media para las variables de cosecha evaluadas. Estos resultados, complementados con el estudio de la estabilidad de los genotipos en ambas cosechas (no se muestran los resultados), permitieron determinar los genotipos de mejor respuesta para cada variable evaluada.



En el caso del contenido azucarero los cultivares de mejor respuesta, en ambas cosecha y con resultados similares o superiores al testigo C87-51, fueron: C86-12, C86-156, C88-380, C89-161, C89-250, C91-367, C92-203, C93-567, C97-445 y SP70-1284. También se pueden observar otros genotipos que presentaron altos valores en la cepa de caña planta (C89-176, C90-647 y C91-356) o primer retoño (B78505, C95-416, C92-514, C91-522, C86-406, C86-165, C86-56, C87-252, C88-297, C88-556, C88-553 y C89-148) con valores similares o superiores al control. Esta inestabilidad de los genotipos respecto al contenido azucarero podría sugerir nuevos estudios en otras localidades.

Para el rendimiento agrícola se observó una respuesta superior o similar con respecto al testigo C87-51 de un grupo de numeroso cultivares, entre los que se destacan: C91-115, C89-147, C86-12, C86-406, C89-559, C90-317, C90-469, C90-530, C91-522, C95-416, C97-445 y SP70-1284. Estos resultados evidencian que una gran parte de los cultivares se adaptaron a las condiciones de la localidad de estudio.

También se puede señalar a los genotipos C88-380, C88-553, C89-176 y los cultivares comerciales C1051-73, C120-78 y B7274 con altos rendimientos cañeros en la cepa de caña planta, así como C86-165, C90-647, C91-356, C91-367, C92-514, C93-567 y B78505 en la cepa de retoño.

Para la variable t de pol ha-1 los cultivares de mejor respuesta comparados con el testigo y con su estabilidad en ambas cosechas fueron: C86-12, C88-297, C89-559, C90-469, C91-115, C91-522, C95-416, C97-445 y SP70-1284. Además se pudo apreciar que los cultivares C88-380 y C89-147 presentaron buen resultado en la primera cosecha; sin embargo, no fue estable en la segunda al presentar bajos valores para esta variable. De manera contraria ocurrió con los cultivares: C86-165, C90-317, C90-530, C90-647, C91-356, C91-367, C92-514, C93-567 y B78505, que presentaron bajo rendimiento en la primera cosecha, no siendo así en la segunda cosecha.

Los resultados de los cultivares para la variable t de pol ha-1 son similares a los obtenidos para el rendimiento agrícola (t caña ha-1). Este comportamiento de los genotipos era previsible ya que la variable t pol ha-1 está muy influenciada por la t caña ha-1, como también lo señalaron otros autores (2, 7).

En un estudio de 20 cultivares en la región central de Cuba (provincia Ciego de Ávila), en condiciones de sequía agrícola y sobre suelos Ferralíticos Rojos, se informó de elevados rendimientos cañeros y agroindustriales de los cultivar C86-12, C89-147 y C90-317A. Sin embargo, estos autores señalaron que estos dos últimos cultivares alcanzaron bajo contenido azucarero.

Clasificación de los cultivares por su época de madurez y cosecha


Para la cepa de caña planta los dos primeros componentes del modelo AMMI extrajeron 61,3 % de la variación contenida en los datos del estudio para el contenido azucarero en todo el período de zafra (Figura 1). Obsérvese las interacciones de los cultivares entre estos y con los meses del período de zafra, donde se puede evidenciar cada cultivar y el mes donde alcanzó el mayor contenido azucarero y, por el contrario, donde obtuvo el menor valor.



En ese sentido, el contenido azucarero del mes de noviembre se diferenció del resto de los meses del período de zafra, interactuando negativamente con los meses de fin de zafra (marzo-abril) como era de esperar. Estos dos momentos poseen características climáticas diferentes lo que explica los resultados anteriores.

Asimismo, obsérvese el cultivar B78505 asociado fuertemente a los meses de fin de zafra (marzo-abril), lo que demuestra que su período óptimo de madurez coincide con estos meses de fin de zafra. Al realizar el análisis de agrupamiento con los resultados del modelo AMMI se obtuvieron tres grandes grupos de madurez. Un primer grupo en los que interactuaron con los meses de inicio de zafra (noviembre a enero) y alcanzaron su valor máximo de porcentaje de pol en caña. En este primer grupo denominado de madurez temprana e inicio de zafra se encuentran los siguientes cultivares: C120-78, C88-553, C89-147, C89-161, C90-316, C90-469, C90-501, C90-530, C91-356 y C91-522.

En el segundo grupo de cultivares, considerados de madurez media o del período intermedio de zafra, coinciden con la mayor parte de los cultivares. En este caso están los cultivares: C86-12, C86-406, C87-252, C87-51, C88-380, C88-556, C89-148, C89-250, C91-367, C92-514, C93-567, C97-445, SP70-1284 y C1051-73. En este grupo se incluyó la C87-51 utilizada como testigo y el cultivar comercial C1051-73 manejado tradicionalmente en todo el período zafra.

El tercer grupo que se puede observar interactúan con los meses de marzo-abril, es decir, alcanzan mayor contenido azucarero en el último período de la zafra. Este grupo lo integran los siguientes cultivares: B7274, C86-156, C86-165, C86-251, C86-56, C88-297, C89-176, C89-559, C90-317, C90-647, C91-115, C92-203 y C95-416.

Al realizar un segundo análisis (modelo AMMI y de agrupamiento) a los cultivares de madurez media (grupo con mayor de 8 cultivares) se pudo determinar el mes en que cada cultivar alcanza el mayor contenido azucarero y, por tanto, el momento óptimo de cosecha (Figura 2).



Obsérvese en la Figura 2 los tres grupos formados por el análisis de agrupamiento. Un primer grupo de cultivares asociado positivamente a los meses de inicio del período de la zafra (diciembre-enero). Entre estos se encuentran: C86-406, C87-252, C89-148, C93-567, C88-556, C92-514 y C1051-73, lo que pudiera considerarse su madurez de inicio-medio del período de zafra.

Asimismo, se puede observar un segundo grupo de cultivares asociado al mes de febrero (período medio de zafra), entre los que se encuentran: C89-250, C86-12, C97-445 y el testigo C87-51.

Estos resultados eran de esperar, de acuerdo a los trabajos realizados por otros autores que han utilizado estos mismos genotipos (9, 13). De igual forma, se puede observar un tercer grupo de cultivares que se asocia a los meses del período medio-final de zafra (marzo-abril). Los cultivares de este grupo son: SP70-1284, C91-367 y C88-380.

Por otra parte, del grupo de genotipos identificados inicialmente como de madurez media, se determinaron los que pueden ser cosechados en todo el período de zafra, debido a que presentan alto y estable contenido azucarero en todo el período de zafra (Figura 3). En este caso se encuentran los genotipos C89-250, C93-567, C89-148, C88-380 y C92-514. También pueden considerarse los cultivares C97-445, SP70-1284 y C86-12 por presentar alta estabilidad del contenido azucarero durante todo el período de zafra, con resultados similares al testigo C87-51.



En ese sentido, en un estudio de nuevos cultivares en la región sur-oriental de Cuba se informó que C86-12 resultó estable para el rendimiento cañero (5). Por otra parte, se ha señalado que el genotipo C89-148 presentó alto contenido azucarero en la región central de Cuba y recomiendan su cosecha en todo el período de zafraA.

La combinación de los modelos AMMI y el análisis de agrupamiento resultó una herramienta eficaz y novedosa para clasificar los genotipos por su período de madurez. Los biplot obtenidos de estos modelos son excelentes herramientas para reducir la dimensionalidad de la información obtenida en los estudios de interacción genotipo-ambiente y tienen la ventaja de visualizar y explorar las relaciones entre genotipos, entre ambientes e interacciones entre genotipos y ambientes (14, 15).

Al realizar el análisis para la cepa de primer retoño, del modelo AMMI y la clasificación de los cultivares por su período de madurez, igualmente se identificaron tres grupos de madurez (no se muestran los resultados). Estos grupos están compuestos por los siguientes cultivares: inicio de zafra (C88-553, C89-147, C89-161, C90-469, C90-501, C90-530, C91-356, C91-367, C92-514, C93-567, C86-156, C86-165 y C90-647), período medio de zafra (C86-12, C86-406, C87-252, C88-380, C89-148, C97-445, SP70-1284, C91-522, C86-251, C89-176, C91-115, C92-203, C95-416, C120-78, C1051-73 y el testigo C87-51) y período final de zafra (C88-556, C89-250, C90-316, C86-56, C88-297, C89-559, C90-317, B78505 y B7274).

Al comparar los resultados del agrupamiento de los cultivares por su período de madurez en las cosechas de caña planta y retoño, coinciden en ambas cosechas en el período de inicio de zafra los siguientes cultivares: C88-553, C89-147, C89-161, C90-469, C90-501, C90-530 y C91-356. En el período medio de zafra: C1051-73, C86-12, C86-406, C87-252, C87-51, C88-380, C89-148, C97-445, SP70-1284 y en el período final de zafra: B7274, C86-56, C88-297, C89-559, C90-317, B78505. El resto de los cultivares difieren, de una cosecha a la otra, en la clasificación de su madurez (Tabla III).



Los resultados anteriores evidencian que los límites de los períodos de madurez y cosechas para algunos cultivares pueden solaparse, lo que indica la importancia del estudio en nuevos cultivares en las localidades donde se desarrolla el cultivo. Existe otro grupo de cultivares donde el agrupamiento de la cepa de caña planta contrasta con la cosecha de primer retoño, es decir inicio-final y viceversa. En este caso los cultivares son: C90-316, C86-156, C86-165 y C90-647; lo que sugiere profundizar en estos resultados por medio de otros estudios.
En la Tabla IV se presenta la ecuación de mejor ajuste para modelar la dinámica de madures de los cultivares utilizados en el estudio.



L la ecuación polinómica de segundo grado resultó ser la que describe la madurez de la caña de azúcar similar a una parábola. Obsérvese también que hay solamente cuatro genotipos que presentaron coeficientes de regresión inferior a 0,5. Estos cultivares (C90-316, C86-165, C90-647 y C86-56) a su vez coinciden con los de mayor contraste en los resultados de los agrupamientos de las cepas de caña planta y primer retoño, lo que evidencia inconsistencia en su dinámica de madures durante el período de zafra. Estos resultados son de mucha importancia en la planificación de la estrategia de zafra en las industrias azucareras.

 

CONCLUSIONES

• Se determinó que los cultivares de mejor respuesta agroindustrial resultaron ser: C86-12, C88-297, C89-559, C90-469, C91-115, C91-522, C95-416, C97-445 y SP70-1284.

• Se determinó el momento óptimo de madurez de los cultivares evaluados clasificándolos por el período de cosecha, en los que se identificaron los grupos: inicio, medio y final. Dentro del grupo de madurez media se diferenciaron los grupos inicio-medio, medio, medio-final, así como los cultivares que se pueden utilizar en todo el período de zafra.

• Se determinó que la ecuación polinómica de segundo grado resultó la de mejor ajuste para modelar la madurez de los cultivares de caña de azúcar durante el período de zafra. Excepto los cultivares C90-616, C86-165, C90-647 y C86-56, el resto de los cultivares estudiados presentó un coeficiente de regresión superior a 0,5.

 

BIBLIOGRAFÍA

1. Jorge, S.H. Catálogo Nuevas Variedades de Caña de Azúcar [en línea], edit. Asociación Cubana de Técnicos Agrícolas y Forestales, La Habana, Cuba, 2 de junio de 2010, ISBN 978-959-7210-19-1, [Consultado: 19 de junio de 2015], Disponible en: <http://www.libreroonline.com/cuba/libros/180/jorge-suarez-hector/catalogo-nuevas-variedades-de-cana-de-azucar.html>.

2. Burnquist, W.L.; Redshaw, K. y Gilmour, R.F. ‘‘Evaluating sugarcane R&D performance: evaluation of three breeding programs’’ [en línea], Proceedings-International Society of Sugar Cane Technologists, 2010, pp. 1–15, [Consultado: 19 de junio de 2015], Disponible en: <http://www.issct.org/pdf/proceedings/2010/2010%20Burnquist,EVALUATING%20SUGARCANE%20RD%20PERFORMANCE%20EVALUATION%20OF%20THREE%20BREEDING%20PROGRAMS.pdf>.

3. Wynne, A.T. y Gilmour, R. ‘‘Economic benefits of research: measuring and reporting’’ [en línea], Proceedings-International Society of Sugar Cane Technologists, 2010, pp. 1-12, [Consultado: 19 de junio de 2015], Disponible en: <http://www.issct.org/pdf/proceedings/2010/2010%20Wynne,%20ECONOMIC%20BENEFITS%20OF%20RESEARCH%20MEASURING%20AND%20REPORTING.pdf>.

4. Jorge, H.; García, H.; Jorge, I.; Bernal, N.; Marrero, A.; Delgado, J.; Cabrera, L.; Delgado, I.; Díaz, M. y Vera, A. ‘‘Red experiemental para el desarrollo de las investigaciones de la caña de azúcar en Cuba. ¿Necesarias?’’, Rev. Cuba & Caña, no. 2, 2010, pp. 33–48, ISSN 1028-6527.

5. Rodríguez Gross, R.; Puchades Izaguirre, Y.; Caraballoso, V.; Tamayo Isaac, M.; Bernal Liranza, N.; Jorge Suárez, H. y Vázquez López, L. ‘‘Contribución de las localidades de prueba en estudios multiambientales de caña de azúcar’’, Cultivos Tropicales, vol. 34, no. 2, junio de 2013, pp. 38-44, ISSN 0258-5936.

6. Waclawovsky, A.J.; Sato, P.M.; Lembke, C.G.; Moore, P.H. y Souza, G.M. ‘‘Sugarcane for bioenergy production: an assessment of yield and regulation of sucrose content’’, Plant Biotechnology Journal, vol. 8, no. 3, 1 de abril de 2010, pp. 263-276, ISSN 1467-7652, DOI 10.1111/j.1467-7652.2009.00491.x.

7. Sandhu, H.S.; Gilbert, R.A.; McCray, J.M.; Perdomo, R.; Eiland, B.; Powell, G. y Montes, G. ‘‘Relationships among leaf area index, visual growth rating, and sugarcane yield’’, Journal American Society of Sugar Cane Technologists, vol. 32, 2012, pp. 1–14, ISSN 1075-6302.

8. Delgado Mora, I.; Bernal Villegas, A.; Gómez Pérez, J.R.; Díaz Mujica, F.R.; Aday Díaz, O.; González Gallardo, H.; Buedo Domínguez, M.; Machado Toledo, L.F.; Súarez, H.J.; García Pérez, H. y Bernal Liranza, N. ‘‘Potencialidades de familias de variedades de caña de azúcar para diferentes períodos de zafras en Cuba’’, Cultivos Tropicales, vol. 33, no. 3, septiembre de 2012, pp. 05-14, ISSN 0258-5936.

9. Bernal, N.; Morales, F.; Gálvez, G. y Jorge, I. Variedades de Caña de Azúcar. Uso y Manejo, edit. Publicaciones IMAGO, La Habana, Cuba, 1997, p. 93, ISBN 959-7051-10-9.

10. StatSoft, Inc. STATISTICA (data analysis software system) [en línea], versión 8.0, [Windows], edit. StatSoft, US, 2007, Disponible en: <http://www.statsoft.com>.

11. Gauch, H.G.; Piepho, H.-P. y Annicchiarico, P. ‘‘Statistical Analysis of Yield Trials by AMMI and GGE: Further Considerations’’, Crop Science, vol. 48, no. 3, 2008, p. 866, ISSN 1435-0653, DOI 10.2135/cropsci2007.09.0513.

12. Ward, J.H. ‘‘Hierarchical Grouping to Optimize an Objective Function’’, Journal of the American Statistical Association, vol. 58, no. 301, 1 de marzo de 1963, pp. 236-244, ISSN 0162-1459, DOI 10.1080/01621459.1963.10500845.

13. Delgado, I.; Ruiz, R.; Gómez, J.R.; González, H.; Díaz, F.R.; Aday, O. y Manresa, M. ‘‘Caracterización de variedades de caña de azúcar en condicione de secano, en diferentes empresas azucareras de la provincia de Villa Clara’’, Revista Cuba & Azúcar, no. 1, 2012, pp. 71-76, ISSN 1028-6527.

14. Yang, R.-C.; Crossa, J.; Cornelius, P.L. y Burgueño, J. ‘‘Biplot Analysis of Genotype × Environment Interaction: Proceed with Caution’’, Crop Science, vol. 49, no. 5, 2009, p. 1564, ISSN 1435-0653, DOI 10.2135/cropsci2008.11.0665.

15. Queme, J.L.; Orozco, H. y Melgar, M. ‘‘GGE Biplot analysis used to evaluate cane yield of sugarcane (Saccharum spp.) cultivars across sites and crop cycles’’ [en línea], Proceedings-International Society of Sugar Cane Technologists, 2010, [Consultado: 19 de junio de 2015], Disponible en: <http://www.issct.org/pdf/proceedings/2010/2010%20Queme,GGE%20BIPLOT%20ANALYSIS%20USED%20TO%20EVALUATE%20CANE%20YIELD%20OF%20SUGARCANE%20(Saccharum%20spp.)%20CULTIVAR.pdf>.

 

 

Recibido: 27 de mayo de 2014
Aceptado: 16 de febrero de 2015

 

 

Dr.C. Reynaldo Rodríguez Gross, Estación Territorial de Investigaciones de la Caña de Azúcar, Oriente Sur, Cuba. Email: reynaldo.rodriguez@inicasc.azcuba.cu

Enlaces refback

  • No hay ningún enlace refback.