Tratamientos pregerminativos y masa de la semilla como estrategia para mejorar la producción de plántulas de aguacate raza Guatemalteca

http://dx.doi.org/10.13140/RG.2.2.31149.28648

 

Tratamientos pregerminativos y masa de la semilla como estrategia para mejorar la producción de plántulas de aguacate raza Guatemalteca

 

Pregerminative treatments and seed mass as a strategy to improve seedling production of Guatemalteca avocado race

 

 

Dr.C. Joaquín G. Ramírez-Gill

Universidad Nacional de Colombia sede Medellín. Facultad de Ciencias Agrarias. Laboratorio de Fitotecnía Tropical, bloque 19 A, Lab. 306. Medellín Colombia.

 

 


RESUMEN

El cultivo de aguacate en Colombia presenta muchos retos tecnológicos para lograr ser un sistema productivo sostenible. Dentro de estos aspectos se destaca la necesidad de producir material vegetal con una identidad genética determinada, en cortos periodos de tiempo y de excelente calidad. El objetivo de este trabajo fue evaluar distintas estrategias de pregerminación y determinar la masa óptima de la semilla de Persea americana var. guatemalensis conocida como raza Guatemalteca con el fin de lograr reducir los tiempos de germinación y mejorar el desarrollo de plántulas en etapa de vivero. Las variables evaluadas fueron: porcentaje de germinación, tiempo medio de germinación, velocidad media de germinación, altura, porcentaje de raíces viables, porcentaje de reservas usadas de la semilla, biomasa y área foliar. Las evaluaciones se realizaron al inicio del experimento y a los 60 y 120 días después de iniciados los tratamientos. Se utilizó un diseño completamente al azar, con cinco repeticiones y dos en el tiempo. El despunte apical, basal y lateral de la semilla junto con la eliminación de la testa, disminuye los tiempos de germinación en semillas de esta especie en 40 días. Por su parte, la masa de la semilla afecta significativamente (p<0,05) la uniformidad y desarrollo de las plántulas, dando lugar a que la masa óptima esté entre 40 y 50 g. Este trabajo informa técnicas para la adecuada producción de plántulas de aguacate  a partir de patrones, bajo un sistema tradicional.

Palabras clave: sostenibilidad, crecimiento, germinación.


ABSTRACT

Avocado crops in Colombia has many technological challenges to be a sustainable production system. Within these areas highlights the need to produce plant material with a specific genetic identity, in short time and excellent quality. The objective of this study was to evaluate different strategies for pregermination and determine the seed optimal mass of Persea americana var. guatemalensis known as race Guatemalteca in order to reduce germination times and enhance the development of seedlings in nursery stage. The variables evaluated were: germination percentage, average germination time, average speed of germination, height, percentage of viable roots, percentage of used seed reserves, biomass and leaf area. Evaluations were performed at the beginning of the experiment and after 60 and 120 days starting treatment. The design was completely randomized, with five replicates and two in time. The apical, basal, and lateral tipping seed with the seed coat removing decreases emergence time’s germination in this species in 40 days. For its part the mass seed significantly affected (p<0,05) the uniformity and seedling development, resulting in the optimum mass was between 40 and 50 g. This paper reports the appropriate techniques for producing seedlings of avocado used as patterns under a traditional system.

Key words: sustainability, growth, germination.


 

 

INTRODUCCIÓN

En Colombia, se siembra aguacate (Persea americana Mill) desde el nivel del mar hasta los 2 500 metros de altura, principalmente para el mercado local, en su gran mayoría son especies nativas, sin ningún proceso de tecnificación, aspecto que ha cambiado en los últimos años con la siembra tecnificada de variedades comerciales, especialmente en climas fríos y fríos moderados, esto debido al aumento del consumo percápita del país y su potencial exportador, como fruta fresca y procesada, especialmente la variedad Hass (1, 2).

El éxito de una plantación de tardía producción, como es el caso del cultivo de aguacate, parte de la calidad y uniformidad de su material vegetal. En esta especie se pueden presentar múltiples problemas asociados a la fase de vivero, dentro de los cuales están las incompatibilidades patrón copa, los bajos porcentajes de germinación, falta de identidad y desuniformidad genética, baja adaptación a condiciones específicas y problemas sanitarios (1–3). Estos problemas se agravan debido a que la semilla utilizada en los viveros en Colombia, una gran parte proviene de frutos colectados sin criterios de calidad e identidad genética en centros de acopio, galerías, basureros de fincas, entre otrasA.

Los problemas asociados a la producción de plántulas de aguacate se han querido solucionar por la técnica de propagación por multiplicación de tejidos
in vitro, los cuales han buscado acortar el período de propagación y masificar la producción de plantas sobre portainjertos clonales (4, 5). Sin embargo, se ha logrado un éxito limitado en los ensayos, debido a que esta especie se comporta como recalcitrante en el cultivo in vitro, presentando múltiples dificultades, lo que da como resultado porcentajes de regeneración muy bajos (4, 5). Esta situación obliga a mejorar los sistemas de propagación tradicional de plántulas utilizadas como patrones, basado en la reproducción por semilla de los distintos materiales nativos de P. americana en las regiones productoras.

Este fenómeno de expansión del área sembrada le exige al país la producción de material vegetal de excelente calidad, con una identidad determinada, disminuyendo los tiempos de su producción en vivero. Dada esta necesidad este trabajo tuvo como objetivo evaluar distintas estrategias de pregerminación y determinar la masa óptima de la semilla de
Persea americana var. guatemalensis conocida como raza guatemalteca, con el fin de lograr reducir los tiempos de germinación y aumentar la uniformidad de las plántulas de aguacate utilizadas como patrones. Los trabajos realizados en estos dos tópicos son pocos y muy antiguos, por lo cual se debe profundizar en el conocimiento  y mejorar los ya existentes.

 

MATERIALES Y MÉTODOS

LOCALIZACIÓN

Este trabajo de investigación se desarrolló en el laboratorio de Fitotecnia Tropical y Fisiología Vegetal e invernadero de la Universidad Nacional de Colombia sede Medellín (6°15N, 75°35´W, 1 495 m s. n. m.). Las condiciones climáticas promedio del invernadero fueron 20 °C y 85 % de humedad relativa y radiación fotosintéticamente activa de 650-1920 μmol fotones m-2 s-1, sobre zona de vida denominada Bosque Húmedo Pre-Montano (bh-P-M). Los ensayos se realizaron entre los años 2012 y 2014.

TRATAMIENTOS PRE-GERMINATIVOS

Selección de semillas

Las semillas utilizadas procedieron de frutos provenientes de árboles nativos sanos de P. americana var. guatemalensis (Figura 1 A), cosechados en madurez fisiológica, según el criterio de materia seca del 25-30 % asignado arbitrariamente. Esta variable fue determinada mediante la toma de 100 g de pulpa y posterior secado en horno de microondasB. Estas plantas forman parte de un huerto comercial ubicado en el municipio de San Pedro de los Milagros en el departamento de Antioquia con clima frío moderado, las cuales han sido usadas como árboles productores de semilla para patrones en viveros comerciales (6°24´34,81” N, 75°36´21,06”O, 2 540 m). A estas semillas se les realizó una caracterización morfológica mediante la evaluación de parámetros como: tipo de adhesión de la semilla a la pulpa; masa; forma; largo; ancho; color y tamaño de la testa y cotiledón, siguiendo las indicaciones de Avilan y Rodríguez (6). Inicialmente se realizó una selección de las semillas para obtener las que presentaran un aspecto visual sano y homogeneidad en tamaño y masa (Figura 1 B).


La desinfección superficial se realizó mediante lavado en agua de grifo, posterior lavado en solución acuosa de hipoclorito de sodio (3 % v:v) por un minuto, seguido de lavado en agua destilada estéril, nueva inmersión en solución acuosa de alcohol (70 % v:v) y, por último, lavado en agua destilada estéril. Estas semillas se colocaron en servilletas absorbentes y se secaron a temperatura ambiente (25 ºC y 70 % de humedad).

TRATAMIENTOS PREGERMINATIVOS EVALUADOS

Los tratamientos evaluados fueron: T0: control, semilla colocada a germinar después de desinfección; T1: eliminación de la testa; T2: despunte apical de la semilla, para lo cual se realizó un corte de 3 cm; T3: T1+T2; T4: T2 más despunte lateral (todos los lados) de la semilla, el cual fue de 2 cm; T5: T1+T4; T6: T4 más despunte basal de 5 mm; T7: T1+T6.

Los cortes se realizaron con bisturís quirúrgicos, previamente desinfestados y con el debido cuidado de no dañar el embrión (Figura 1 C).

Cada tratamiento se colocó sobre una bandeja germinadora de plástico, donde las unidades experimentales fueron envueltas en servilletas absorbentes a temperatura de 25 ºC, humedad ambiental de 90 % y 12 horas de luz y oscuridad. Para cada tratamiento se evaluaron cinco repeticiones, donde la unidad experimental consistió en cinco semillas.

Con los datos obtenidos se calcularon las variables: porcentaje de germinación (PG), tiempo medio de germinación (TMG) y velocidad media de germinación (VMG)C.

Con el fin de conocer la viabilidad de las semillas se les realizó el test de tetrazolio, para lo cual las semillas fueron cortadas longitudinalmente, con el fin de extraer el embrión para posteriormente realizar su inmersión en solución de cloruro 2, 3, 5-trifenil-2H-tetrazolio al 0,5 % (p/v) durante 24 h, a 30 °C, bajo condiciones de oscuridad (7). Este procedimiento se desarrolló al inicio del ensayo, para lo cual se tomó una muestra al azar, la cual consistió en 50 semillas. Por su parte, al final la prueba fue aplicada sobre todas las unidades experimentales. Terminado este proceso, los embriones se observaron en esteromicroscopio. Los embriones viables fueron aquellos en los cuales se observó coloración roja del tejido y los inviables en los que se presentó ausencia de color.

Independiente de la etapa anterior para este genotipo evaluado se determinó la germinación y la viabilidad de las semillas en el tiempo, para lo cual se seleccionaron 12 periodos de evaluación, donde cada periodo consistíó de 1,5 meses, para un total de 18 meses. En cada uno se utilizaron 10 semillas, las cuales para los periodos superiores al denominado cero, provenían de su almacenamiento en aserrín en cajas de cartón totalmente selladas colocadas en condiciones ambientales (20 ºC de temperatura y 60 % de humedad).

MASA DE LA SEMILLA

Se evaluaron seis tratamientos equivalentes a diferentes masas de la semilla, que fueron: T1= >60 g, T2= 60-50 g, T3= 50-40 g, T4= 40-30 g, T5= 30-20 g y T6= <20 g.

Las semillas procesadas se sembraron en potes plásticos (1 kg de capacidad de suelo seco), con sustrato (50 % suelo, 25 % cascarilla de arroz, 25 % humus), previamente esterilizado en autoclave a 103 351,5 Pa y 121 ºC, por dos ciclos de una hora. Las plantas se mantuvieron en condiciones de casa-malla, fertilizadas con la solución nutritiva Hoogland que consistió en las siguientes concentraciones (mg L-1): nitrógeno N: 50 (KNO3); potasio K: 132 (KNO3); fósforo P: 160 (NH4H2PO4); calcio Ca: 120 (Ca(NO3)2); magnesio Mg: 106 (MgSO4); azufre S: 204 (MgSO4); zinc Zn: 10 (ZnSO4); cobre Cu: 5 (CuSO4); boro B: 0,8 (H3BO3); manganeso Mn: 1,81 (MnCl2) y molibdeno Mo: 0,5 (H2MoO4).

Esta solución se aplicó al suelo en una cantidad determinada según los requerimientos diarios con el fin de mantener la humedad del suelo en un 50 % de la máxima capacidad de retención de humedad, evaluación determinada mediante la saturación del sustrato y su cuantificación a partir de suelo seco y húmedo en estufa.

El tratamiento se dividió en tres partes, la primera después de la germinación, la segunda a los 60 días después de germinación (ddg) y la tercera a los 120 ddg. Las variables evaluadas fueron, el porcentaje de germinación; la altura de las plántulas, la cual se determinó mediante un pie de rey digital (Mitutoyo Digimatic Caliper ®), desde la parte inferior del tallo, ubicada sobre el sustrato hasta la última yema apical desarrollada; el porcentaje de raíces viables (8); la masa seca aérea y de raíz, para lo cual se colectaron todas las partes de las plantas, se empacaron en bolsas de papel y fueron llevadas a estufa (Binder®) a  y se secaron a 70°C, hasta que presentó peso constante; el área foliar mediante un medidor de área foliar Li-Cor® LI 3000A y porcentaje de reservas de la semilla; para la determinación de esta última se obtuvo una muestra de cada semilla, la cual se secó en estufa semi-automatica (Binder ®) a 70 ºC durante 48 h y se pesaron por separado los cotiledones y el pericarpo.

Con estos datos se calcularon regresiones para cada tratamiento, con el fin de estimar la masa seca de los cotiledones, es así como las reservas usadas fueron calculadas como la diferencia entre la masa seca del cotiledón inicial y del remanente después de los 60 y los 120 ddg.

El porcentaje de uso de las reservas se calculó como el cociente entre las reservas usadas y la masa seca del cotiledón inicial multiplicado por cien (9, 10). La unidad experimental consistió en tres semillas y posterior a la germinación dos plántulas. Por cada tratamiento se realizaron cinco repeticiones.

ANÁLISIS ESTADÍSTICO

Para todos los experimentos se utilizó un diseño completamente al azar. Con dos repeticiones en el tiempo. La homocedasticidad y normalidad de los datos fue analizada (p<0,05) utilizando los criterios de Levene y Kolmogorov-Smirnov, respectivamente (11, 12). Se realizó análisis de varianza y prueba de comparación de medias de Tukey (p<0,05) (13). Por su parte en el análisis de las características de la semilla y germinación y viabilidad en el tiempo a los datos obtenidos se les determinó la media y su respectiva desviación estándar.

 

RESULTADOS Y DISCUSIÓN

CARACTERÍSTICAS BIOMÉTRICAS DE LAS SEMILLAS

La semillas del genotipo de P. americana var. guatemalensis evaluado fue del tipo adherida, cuya masa fue bastante variable con valor promedio de 0,040 kg ±0,0258, densidad de 2* 10-4 kg m-3 ± 0,0001, forma de tipo oblata, 0,048 m ± 0,04 de altura, diámetro 0,022 m ± 0,03, humedad promedio de 47,06 % ± 10. Testa de color castaño claro de 1 *10-4 m de grosor, cotiledónes hemisféricos, lisos y de color crema (Figura 1 B y C).

TRATAMIENTOS PREGERMINATIVOS

Para los parámetros porcentaje de germinación y viabilidad de las semillas no se presentaron diferencias significativas (p>0,05) en ninguno de los tratamientos evaluados, donde la primera variable osciló entre 80 y 88 %. En lo que respecta a su viabilidad este fue del 100 %, indicando que las semillas seleccionadas eran viables para cada uno de los tratamientos y que ninguno de estos afectó esta variable (Tabla).


Estos resultados indican que ninguno de los tratamientos pregerminativos aumenta el porcentaje de germinación de las semillas del genotipo de aguacate evaluado y que al identificar que su viabilidad inicial era del 100 %, existe algún tipo de latencia no eliminada con las estrategias evaluadas. Al respecto se plantea que los bajos niveles de germinación en P. americana se deben a que esta especie vegetal presenta inhibición en su germinación, pero aún se desconoce el tipo y los mecanismos implicados en este proceso (1). Contrario a lo encontrado en este trabajo se informa que tratamientos asociados a la eliminación de la testa y cortes a los cotiledones mejoran los porcentajes de germinación de 12,2 al 92,2 % (14).

Por su parte la variable TMG fue agrupada mediante la prueba de Tukey en cuatro grupos diferentes, en el primero se encontró el tratamiento T1, en el cual se encontró una disminución del TMG (p<0,05) con respecto al control (T0), pero inferior (p<0,05) a los demás tratamientos. En un segundo grupo se congregaron los tratamientos T2, T3, T4 y T5, los cuales logran una disminución significativa (p<0,05) del TMG, con respecto al control (T0) y al tratamiento T1. En el tercer grupo, en el cual se encuentran los tratamientos T6 y T7, se logra la mayor disminución del tiempo que se necesita para que una semilla del genotipo de aguacate evaluado germine. El último grupo lo conformó el control (T0) (Tabla).

Confirmando el resultado obtenido para el TMG, la VMG en T6 y T7 fue la más alta logrando una cantidad superior de semillas germinadas por día, seguido de T5, T4, T3 y T2, los cuales fueron sobresalientes con respecto a los tratamientos T1 y el control (T0) (Tabla).

Las respuestas en estas variables indican que los tratamientos evaluados no aumentan el porcentaje de germinación pero sí disminuyen el tiempo de germinación de las semillas del genotipo de aguacate evaluado, donde la remoción de la testa y los distintos tipos de corte apical, lateral y basal de la semilla (T1, T2, T3, T4, T5, T6 y T7) (Tabla), logran reducir el tiempo de germinación de las semillas en 20, 24,8, 27,9, 30,5, 33, 36,8 y 39,8 días respectivamente, en relación al control (T0). Estos resultados concuerdan con otros trabajos, donde se encontró que la eliminación de la testa disminuye el tiempo de germinación (15–17).

Por su parte se plantea que si el objetivo de un sistema de producción de aguacate es obtener plántulas rápidamente y con mayores tasas de germinación la mejor estrategia es utilizar los cortes en la semillas (18) y como se encontró en este trabajo lo recomendable es hacer cortes en el ápice, laterales y basales, siempre y cuando se tenga en cuenta que los cortes basales tienen que ser inferiores a 5 mm para no dañar el embrión (Figura 1C).

VIABILIDAD DE LAS SEMILLAS EN EL TIEMPO

Las semillas del genotipo de aguacate
evaluado se caracterizaron porque su viabilidad y germinación no disminuyó estadísticamente (p>0,05) hasta el periodo 5 (seis meses), posterior empezó un proceso de disminución acelerado (p<0,05) en el tiempo de los valores en estas dos variables, pasando de un 90 % hasta el 23 % para el periodo 12 (18 meses); esta variable coincidió con lo encontrado para el porcentaje de germinación, el cual decayó del 75 % hasta el 10 % (Figura 2). Al respecto se plantea que las semillas de P. americana, pierden la viabilidad en el tiempo, clasificándose como una semilla de tipo recalcitrante (19, 20).


Para el caso particular del genotipo evaluado las semillas permanecen con un valor alto de germinación y viabilidad hasta los ocho meses después de su almacenaje, momento en el cual empieza un proceso de deterioro, representado por la pérdida de la capacidad de germinación y disminuyendo la viabilidad.

MASA DE LA SEMILLA

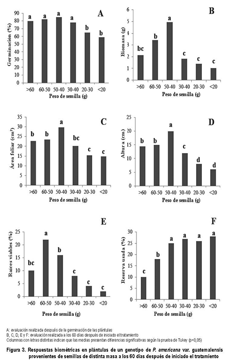
La primera evaluación arrojó que para el porcentaje de germinación la masa de la semillas presentó diferencias significativas (p<0,05), dando lugar a que las semillas con masa inferior a 30 g (30-20 y <20 g) presenten los valores más bajos, disminuyendo la germinación al 60 % en comparación con el 80 % obtenida en las semillas de tamaño entre 40 y 50 g (Figura 3 A).


Para la segunda evaluación (día 60), las variables biométricas determinadas como biomasa y área foliar se reunieron en tres grupos (p<0,05). En el primero y con la mayor cantidad de biomasa y área foliar se encontraron las plantas provenientes de semillas cuya masa fue de 40-50 g, en un lugar intermedio semillas de 50-60 g y >60 g y con los valores más bajos las semillas cuya masa fueron inferiores a 40 g (Figura 3 B y C). En lo que respecta a la altura los tratamientos se agruparon en cuatro grupos con diferencias estadísticas (p<0,05), en el primero y con los valores más altos en esta variable se encontró las semillas cuya masa fue de 40-50 g, le siguió las semillas con masa superior a 50 g (50-60 y >60 g), posterior se encontró las semillas de masa entre 30-40 g y en cuarto lugar y con la menor altura las semillas con masa inferior a 30 g (Figura 3 D).

En lo que respecta a las raíces viables las masas de las semillas que favorecieron esta variable (p<0,05) fueron aquellas entre 40 y 60 g (40-50 y 50-60 g), por su parte las demás masas presentaron los valores más bajos (p<0,05) decreciendo según disminuía la masa de la semilla (Figura 3 E). Por su parte el consumo de reservas en la semilla para esta primera evaluación mostró que las unidades experimentales provenientes de masas superiores a 50 g (60-50 y >60 g) las reservas usadas fueron muy bajas (p<0,05) dando lugar a consumos inferiores al 20 %, contrario a los demás tratamientos donde el consumo de reservas fue superior al 25 % (Figura 3 F). El aspecto visual de los tratamientos se puede observar en la Figura 5 A.


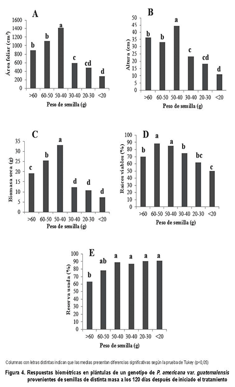
La destrucción de las unidades experimentales al día 120 (Figura 4), mostró una tendencia similar a la encontrada en el día 60, donde sobresalió un patrón o tendencia, la cual se caracterizó porque las plántulas provenientes de semillas de masas inferiores a 30 g, el desarrollo fue estadísticamente menor (p<0,05) con respecto a las semillas de masa superior a 40 g. Esta tendencia dio lugar a que el área foliar y la altura se separen en tres grupos, el primero y con valores más altos con respecto a los demás (p<0,05), agrupó las semillas de masa entre 40-50 g, con valores intermedios las masas superiores a 50 g y en el grupo con los niveles inferiores las semillas de masa inferior a 40 g (Figura 4 A-B).


Por su parte el análisis estadístico para la biomasa agrupó los resultados en cuatro grupos distintos (p<0,05), dando lugar a que la mayor biomasa se presentara en semillas provenientes de masas entre 40-50 g, seguido de 50-60 g, en un grupo intermedio aquellos de masas >60 g y en el nivel inferior las plántulas provenientes de semillas con masa <40 g (Figura 4 C).

En lo que respecta a las raíces viables cabe resaltar que las semillas con masas entre 40-60 g, presentan un mayor número de raíces funcionales (p<0,05) (viables), con respecto a los demás tratamientos y las semillas de masa inferior a 20 g son las de menor cantidad de raíces de este tipo (Figura 4 D). Para esta fecha las reservas usadas por parte de las plantas fue superior al 90 % en los tratamientos con masa inferior a 60 g, caso contrario para aquellas superiores a 60 g, donde el consumo de reservas fue menor al 70 % (Figura 4 E). El aspecto visual de los tratamientos se puede observar en la Figura 5 B.


Estos resultados sugieren que en las semillas de menor masa las reservas son consumidas rápidamente, contrario a las de mayor masa, donde al haber una mayor reserva el consumo total de esta tarda más tiempo.

La dinámica de consumo de las reservas por parte de las plántulas, según la masa de la semillas explica los resultados obtenidos en las variables biométricas, dando lugar a que las plántulas provenientes de semillas de menor masa, presenten una reducida formación de órganos como hojas y raíces, lo cual se traduce en una menor capacidad para realizar los procesos metabólicos indispensables para su adecuado desarrollo. Por su parte en las semillas de masa mayor, la mayor cantidad de reserva, da lugar a que las plántulas en sus estados iniciales presenten un desarrollo lento, debido a que pueden obtener nutrientes rápidamente de los tejidos de reserva, lo cual se traduce en un desarrollo más lento de raíces y hojas.

Para el caso de aquellas semillas con una masa intermedia (40-50 g), las reservas fueron utilizadas adecuadamente, lo cual se vio reflejado en un adecuado desarrollo de hojas, tallos y raíces, las cuales pueden utilizar los nutrientes del suelo y la luz solar para realizar todos sus procesos metabólicos una vez agotadas las reservas.

Al respecto se plantea que las semillas de aguacate provenientes de especímenes denominados “criollos” y que poseen semillas de tamaño grande contienen altos contenidos de nutrientesD (21).

Tal cantidad de nutrientes le permite a las plantas crecer bien entre tres y cinco meses, dependiendo del tamaño, biomasa y calidad de la semilla, sin otros requerimientos más que luz y agua, dando lugar a pocas respuestas en tratamientos que se realicen en la etapa de vivero, donde su desarrollo se caracteriza por un crecimiento lento (22). Este es un problema comúnmente observado en
P. americana, por lo cual se ha optado por excluir este impedimento, mediante la eliminación de todos los cotiledones y buscar una mayor respuesta a los distintos tratamientos evaluadas en las etapas iniciales (8).

En otras especies vegetales se plantea que el uso de semillas de tamaño grande aumenta la probabilidad de obtener mejores plántulas (23–25), donde algunos resultados indican que a su vez serán más robustas y capaces de escapar a procesos de mortalidad (10).

Caso contrario se reporta que las semillas de menor tamaño de maíz presentan mejor rendimiento en campo y valores más altos de germinación en comparación con aquellas de mayor tamaño (26). Por  su parte existen algunos ejemplos en los cuales la respuesta en las variables biométricas de las plántulas han presentado bajos niveles de correlación con características de la semilla como tamaño, masa, entre otras (27, 28). A pesar de esto son pocos los estudios para conocer en detalle la relación del tamaño de la semilla con el uso de sus reservas, así como la importancia que pueda tener sobre la masa de la plántula (10).

Cuando una planta se reproduce por semilla su éxito dependerá en gran parte de aspectos fisiológicos y bioquímicos de la semilla, su reacción al ambiente y la rapidez con la que utilice sus reservas, hasta que sea lo suficientemente fuerte para utilizar la energía solar y los nutrientes del suelo (29).

Con los resultados encontrados en esta investigación se plantea la necesidad de determinar el efecto que pueden tener variables como la masa de las semillas en la respuesta de las futuras plántulas provenientes de los distintos materiales de aguacate, usados como patrones en los viveros comerciales, dado la gran cantidad de materiales de distinto origen que son utilizados, donde además esta respuesta será dependiente de variables como el tiempo, la cual está íntimamente ligada a las necesidades del hombre y a las modificaciones que este puede realizar, ya que al alterar algunos aspectos como cantidad de fertilizantes, inoculantes microbianos, condiciones ambientales, entre otras, las semillas serán más o menos dependientes de sus reservas, pero se hace necesario una cantidad determinada, dado el papel primordial en las primeras etapas de desarrollo, cuando son indispensables en la formación de las estructuras necesarias para que una planta pueda expresar su potencial genético en condiciones favorables.

En este trabajo se encontró que los tratamientos germinativos y el tiempo de almacenamiento, afecta la germinación, la viabilidad y la velocidad de germinación de semillas de un genotipo de
P. americana var. guatemalensis. Por su parte el uso de semillas de baja masa (<30 g), da como resultado plántulas de escaso desarrollo (Figuras 3, 4 y 5). Para el caso de las semillas de mayor masa (> 50 g), estas dan origen a plántulas con un desarrollo más lento, dando lugar a que bajo condiciones de producción comercial los tiempos en vivero sean más largos.

 

CONCLUSIONES

Los tratamientos pregerminativos, al igual que el almacenamiento de las semillas, afectaron las viabilidad, velocidad de germinación, el tiempo medio de germinación y el porcentaje de germinación del genotipo de P. americana var. guatemalensis. Para este genotipo particular el tamaño óptimo de la semilla fue aquel con una masa de 40-50 g.

 

RECOMENDACIONES

Con el objetivo de la producción de plántulas de aguacate con una identidad genética determinada, más homogéneas y en periodos de tiempo más cortos, se recomienda la caracterización e identificación del genotipo utilizado como patrón, además de determinar las respuestas a distintos tratamientos pre-germinativos y evaluar el tamaño más óptimo de la semilla, según las necesidades del sistema de producción.

 

NOTAS AL PIE

AGutiérrez, A.; Castro, D.; Ararat, M.; Melo, J.; Carvajal, S. y Ríos, D. “Diseño de estrategias para la obtención de plántulas sanas de aguacate, en condiciones de vivero”. En: III congreso Latinoamericano del Aguacate, Simposio Propagación, Medellín, Colombia, 2009, p. 39.

BOchoa, S. Calidad y manejo poscosecha del fruto de aguacate. III congreso latinoamericano del Aguacate Medellín Colombia octubre del 2010, pp. 1-17.

CCárdenas, J. Morfología y tratamientos pregerminativos de semillas de granadilla (Passiflora ligularis Juss.). [Tesis de maestría]. Facultad de Agronomía, Universidad Nacional de Colombia, Bogotá, 2011, 110 pp.

DBárcenas, O.; Molina, E.; Huanosto, M. y Aguirre, P. “Contenido de macro y microelementos en hojas, flor y fruto de aguacate «Hass» en la región de Uruapan, Michoacán”. En: V Congreso Mundial de Aguacate, 2003, pp. 365-371.

 

BIBLIOGRAFÍA

1. Bernal, A. y Cipriano, A. “Manejo del cultivo de Aguacate” [en línea]. En: Bernal E. J., Actualización tecnológica y buenas prácticas agrícolas (BPA) en el cultivo de aguacate, Ed. CORPOICA, Bogotá, Colombia, 2013, pp. 11-151, ISBN 978-958-8711-50-8, [Consultado: 15 de junio de 2016], Disponible en: <http://www.sidalc.net/cgi-bin/wxis.exe/?IsisScript= bac.xis&method= post&formato= 2&cantidad=1&expresion=mfn=064816>.

2. Ramírez, G. J. G.; Castañeda, S. D. A. y Morales, O. J. G. “Estudios etiológicos de la marchitez del aguacate en Antioquia-Colombia”.
Revista Ceres, vol. 61, no. 1, febrero de 2014, pp. 50-61, ISSN 0034-737X, DOI 10.1590/S0034-737X2014000100007.

3. Frolich, E. F.; Schroeder, C. A. y Zentmyer, G. A. “Graft compatibility in the genus Persea”. California Avocado Society Yearbook, vol. 42, 1958, pp. 102–105, ISSN 0096-5960.

4. Witjaksono y Litz, R. E. “Effect of Gamma Irradiation on Embryogenic Avocado Cultures and Somatic Embryo Development”.
Plant Cell, Tissue and Organ Culture, vol. 77, no. 2, mayo de 2004, pp. 139-147, ISSN 0167-6857, 1573-5044, DOI 10.1023/B:TICU.0000016817.65358.77.

5. Palomo, R. E.; Barceló, M. A.; Mercado, J. A. y Pliego, A. F. “Evaluation of key factors influencing Agrobacterium-mediated transformation of somatic embryos of avocado (
Persea americana Mill.)”. Plant Cell, Tissue and Organ Culture (PCTOC), vol. 109, no. 2, mayo de 2012, pp. 201-211, ISSN 0167-6857, 1573-5044, DOI 10.1007/s11240-011-0086-5.

6. Avilan, R. y Rodríguez, M. Descripción y evaluación de la colección d aguacates (Persea spp) del CENIAP. (ser. A, no. ser. 12), Ed. Fondo Nacional de Investigaciones Agropecuarias-Centro Nacional de Investigaciones Agropecuarias, 1997, Maracay, Venezuela, 92 p., ISBN 980-318-102-5.

7. Ramírez, G. J. G.; Muñoz, M. A.; Osorno, B. L.; Walter, O. N. y Morales, O. J. G. “Germination and growth of purple passion fruit seedlings under pre-germination treatments and mycorrhizal inoculation”. Pesquisa Agropecuaria Tropical, vol. 45, no. 3, septiembre de 2015, pp. 257-265, ISSN 1983-4063, DOI 10.1590/1983-40632015v4533273.

8. Ramírez, G. J.; Castañeda, S. D. y Morales, O. J. “Alternativas microbiológicas para el manejo de
Phytophthora cinnamomi Rands., en Persea americana Mill. bajo condiciones de casa-malla”. Cultivos Tropicales, vol. 35, no. 4, diciembre de 2014, pp. 19-27, ISSN 0258-5936.

9. Quero, J. L.; Villar, R.; Marañón, T.; Zamora, R. y Poorter, L. “Seed-mass effects in four Mediterranean Quercus species (Fagaceae) growing in contrasting light environments”. American Journal of Botany, vol. 94, no. 11, 11 de enero de 2007, pp. 1795-1803, ISSN 0002-9122, 1537-2197, DOI 10.3732/ajb.94.11.1795, PMID: 21636374.

10. González, R. V.; Villar, M. R. y Navarro, C. R. M. “Efecto del peso de la semilla y del progenitor en la biomasa y uso de las reservas de cuatro especies de
Quercus”. Cuadernos de la Sociedad Española de Ciencias Forestales, no. 28, 2008, pp. 151-156, ISSN 1575-2410.

11. Levene, H. “Robust tests for the equality of variance” [en línea]. En: Olkin I., Contributions to Probability and Statistics: Essays in Honor of Harold Hotelling, Ed. Stanford University Press, 1960, pp. 278-292, ISBN 978-0-8047-0596-7, [Consultado: 3 de junio de 2016], Disponible en: <https://books.google.com.cu/books?id =ZUSsAAAAIAAJ&pg= PA278&lpg=PA278&dq=Robust+tests+for+the+ equality+ of+variance.+Contributions+to+Probability +and+ Statistics +LEVENE&source=bl&ots= GchQnBzOWS&sig=gS0jf8 qRvK2f4 GqJ05 U1Jmk8kRo&hl=es-419&sa=X&redir_esc=y#v= onepage&q=Robust%20tests %20for % 20t he%20equality%20of%20variance.%20Contributions %20to%20Probability%20and% 20Statistics% 20LEVENE&f=false>.

12. Allen, M. E.
Kolmogorov-Smirnov test for discrete distributions [en línea]. Master Thesis, Naval Postgraduate School, marzo de 1976, Monterey, California, 93 p., [Consultado: 26 de mayo de 2016], Disponible en: <http://calhoun.nps.edu/handle/10945/17830>.

13. Tukey, J. W. “Bias and confidence in not quite large samples”. The Annals of Mathematical Statistics, vol. 29, no. 2, junio de 1958, pp. 614-623, ISSN 0003-4851, DOI 10.1214/aoms/1177706647.

14. Kadman, A. “Germination experiment with avocado seeds”.
California Avocado Society Yearbook, vol. 47, 1963, pp. 58–60, ISSN 0096-5960.

15. Eggers, E. R. “Effect of the removal of the seed coats on avocado seed germination”.
California Avocado Society Yearbook, 1942, pp. 41-3 pp., ISSN 0096-5960.

16. Burns, R. M.; Mircetich, S. M.; Coggins, C. W. y Zentmyer, G. A. “Gibberellin incr eases growth of Duke avocado seedlings”.
California Agriculture, vol. 20, no. 10, 1966, pp. 6-7, ISSN 2160-8091, 0008-0845.

17. Bender, G. y Whiley, A. “Propagación”. En: eds. Whiley A. W., Schaffer B., y Wolstenholme B. N.,
El Palto. Botánica, Producción y Usos, Ed. Ediciones Universitarias de Valparaiso, Chile, 2007, pp. 177-197, ISBN 978-956-17-0415-2.

18. Bergh, B. “The effect of pretreatments on avocado seed germination”.
California Avocado Society Yearbook, vol. 72, 1988, pp. 215-221, ISSN 0096-5960.

19. Wolstenholme, B. N. y Whiley, A. W. “Ecophysiology of the avocado (
Persea americana Mill.) tree as a basis for pre-harvest management”. Revista Chapingo Serie Horticultura, vol. 5, 1999, pp. 77–88, ISSN 1027-152X, 2007-4034.

20. Scora, R.; Wolstenholme, B. y Lavi, U. “Taxonomia y Botanica”. En: eds. Whiley A. W., Schaffer B., y Wolstenholme B. N., El Palto. Botánica, Producción y Usos, Ed. Ediciones Universitarias de Valparaiso, Chile, 2007, pp. 177-197, ISBN 978-956-17-0415-2.

21. Weatherby, L. S. y Sorber, D. G. “Chemical Composition of Avocado Seed”. Industrial & Engineering Chemistry, vol. 23, no. 12, 1 de diciembre de 1931, pp. 1421-1423, ISSN 0019-7866, DOI 10.1021/ie50264a027.

22. Carreón, A. Y.; Aguirre, S. P.; Gavito, M. E.; Dorian, J.; Mendoza, S.; Juárez, C. R.; Martínez, T. M. y Trejo, A. D. “Inoculación micorrízico arbuscular en portainjertos de plantas de aguacate cv «Hass» en viveros de Michoacán, México”.
Revista Mexicana de Ciencias Agrícolas, vol. 5, no. 5, agosto de 2014, pp. 847-857, ISSN 2007-0934.

23. Green, P. T. y Juniper, P. A. “Seed–seedling allometry in tropical rain forest trees: seed mass-related patterns of resource allocation and the «reserve effect»”. Journal of Ecology, vol. 92, no. 3, 1 de junio de 2004, pp. 397-408, ISSN 1365-2745, DOI 10.1111/j.0022-0477.2004.00889.x.

24. Milosevic, M.; Vujakovic, M. y Karagic, D. “Vigour tests as indicators of seed viability”.
Genetika, vol. 42, no. 1, 2010, pp. 103-118, ISSN 0534-0012, DOI 10.2298/GENSR1001103M.

25. Huerta, P. R. y Rodríguez, T. D. A. “Efecto del tamaño de semilla y la temperatura en la germinación
Quercus rugosa Née”. Revista Chapingo. Serie ciencias forestales y del ambiente, vol. 17, no. 2, 2011, pp. 179–187, ISSN 2007-3828, 2007-4018.

26. Sulewska, H.; Smiatacz, K.; Szymanska, G.; Panasiewicz, K.; Bandurska, H. y Glowicka, W. R. “Seed size effect on yield quantity and quality of maize (Zea mays L.) cultivated in South East Baltic region”. Zemdirbyste-Agriculture, vol. 101, no. 1, 2014, pp. 35–40, ISSN 1392-3196.

27. Celis, V. R.; Peña, V. C. B.; Trejo, L. C.; Aguirre, R. J. R.; Córdoba, G. L. y Carballo, C. A. “Consumo de reservas de la semilla de frijol para la emergencia y desarrollo inicial en diferentes profundidades de siembra”.
Agronomía Mesoamericana, vol. 19, no. 2, 9 de octubre de 2007, p. 167, ISSN 2215-3608, 1021-7444, DOI 10.15517/am.v19i2.4999.

28. Peñalosa, P. y Duran, J. “Association between biometric characteristics of tomato seeds and seedling growth and development”. Electronic Journal of Biotechnology, vol. 18, 2015, pp. 267–272, ISSN 0717-3458.

29. Soltani, A.; Robertson, M.; Torabi, B.; Yousefi, M. y Sarparast, R. “Modelling seedling emergence in chickpea as influenced by temperature and sowing depth”.
Agricultural and Forest Meteorology, vol. 138, 2006, pp. 156–167, ISSN 0168-1923.

 

 

Recibido: 02/10/2015
Aceptado: 10/02/2016

 

 

NOTA AL LECTOR

Este artículo no cumple con el índice de Price (60 % de las citas de los últimos cinco años) pues los trabajos realizados en esta temática son pocos y muy antiguos, de ahí la novedad de esta información.

 

 

Dr.C. Joaquín G. Ramírez Gill, Universidad Nacional de Colombia sede Medellín. Facultad de Ciencias Agrarias. Laboratorio de Fitotecnía Tropical, bloque 19 A, Lab. 306. Medellín Colombia. Email: jgramireg@unal.edu.co

Enlaces refback

  • No hay ningún enlace refback.